Для студентов МГТУ им. Н.Э.Баумана по предмету Линейная алгебра и аналитическая геометрияКривые и поверхности второго порядкаКривые и поверхности второго порядка
5,0053
2022-11-192025-04-24СтудИзба
ДЗ 2: Кривые и поверхности второго порядка вариант 15
-43%
Описание
Зачтенный типовой расчет по аналитической геометрии №2 "Кривые второго порядка"
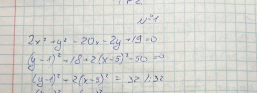
Задача 1:
Задача 2:
Задача 3:
Задача 4:
Задача 5:
Задача 6:
![]()
Задача 1:






Характеристики домашнего задания
Учебное заведение
Семестр
Номер задания
Вариант
Просмотров
66
Качество
Фото рукописных листов
Размер
1,56 Mb
Список файлов
Вариант 15 Кривые 5.pdf

Спасибо за покупку! Я буду очень рад, если поставишь справедливую оценку купленному файлу :3 Ищи больше работ в моём профиле, там много нужного тебе!