Для студентов МГТУ им. Н.Э.Баумана по предмету Линейная алгебра и аналитическая геометрияКривые и поверхности второго порядкаКривые и поверхности второго порядка
5,0056
2022-03-302025-05-23СтудИзба
ДЗ 1.2: Кривые и поверхности второго порядка вариант 23
-43%
Описание
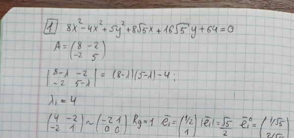
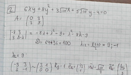
Второй типовой расчет по линейной алгебре, 4 задачи, зачтено на максимальный балл.
![]()




Характеристики домашнего задания
Учебное заведение
Семестр
Номер задания
Вариант
Просмотров
135
Качество
Фото рукописных листов
Размер
2,3 Mb
Список файлов
Вариант 23 Линал Дз-2 27.pdf

Спасибо за покупку! Я буду очень рад, если поставишь справедливую оценку купленному файлу :3 Ищи больше работ в моём профиле, там много нужного тебе!