Для студентов МГТУ им. Н.Э.Баумана по предмету Линейная алгебра и аналитическая геометрияВекторная алгебра и аналитическая геометрияВекторная алгебра и аналитическая геометрия
5,00513
2021-09-242025-05-02СтудИзба
ДЗ 1: Векторная алгебра и аналитическая геометрия вариант 20
Описание
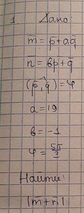
В файле выполненное ДЗ-1 по аналитической геометрии для 20 варианта , 13 задач. Красивый , аккуратный почерк , очень подробно расписано. Условие ниже
Файлы условия, демо
Характеристики домашнего задания
Учебное заведение
Семестр
Номер задания
Вариант
Просмотров
206
Размер
19,66 Mb
Список файлов
1.jpg
2.jpg
3.jpg
4.jpg
5.jpg
6.jpg
7.jpg
8.jpg
9.jpg
10.jpg
11.jpg
12.jpg
13.jpg
14.jpg
15.jpg
16.jpg
Комментарии
Нет комментариев
Стань первым, кто что-нибудь напишет!
МГТУ им. Н.Э.Баумана
Freebie_bauman



















