Для студентов МГТУ им. Н.Э.Баумана по предмету Линейная алгебра и аналитическая геометрияФункции нескольких переменныхФункции нескольких переменных
5,0054
2021-02-222025-08-07СтудИзба
ДЗ 2: Функции нескольких переменных вариант 15
-51%
Описание
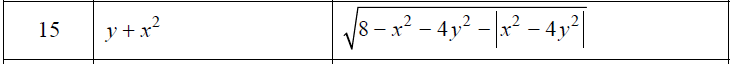
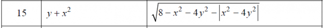
- Задача 1. С помощью линий уровня найти наибольшее и наименьшее значения функции f(x, y) в области определения функции g(x, y)
- Задача 2. Для заданной функции неявно найти dz в вариантах №1-15; ∂z/∂x, ∂z/∂y в вариантах №16-30
- Задача З. Найти дифференциал второго порядка для функции трех переменных f(x, у, z) в точке М1 и дифференциал третьего порядка для функции двух переменных g(х, у) в точке М2
- Задача 4. Показать, что функция z=z(х, у) удовлетворяет данному дифференциальному уравнению; f - произвольная дифференцируемая функция
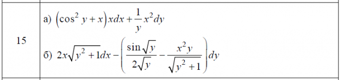
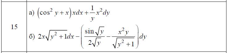
- Задача 5. Проверить, является ли данная дифференциальная форма полным дифференциалом некоторой функции, если да, найти ее
- Задача 6. В точке А найти производную функции u=f(x, у, z) в направлении вектора АВ, а также ее максимальное значение. Указать вектор направления максимальной производной
- Задача 7.
На поверхности (вар. №11-15), заданной уравнением F(x; y; z)=0, найти точки, в которых нормаль к поверхности параллельна прямой
l: (x-x0)/m=(x-y0)/n=(x-z0)/p или L: [A1x+B1y+C1z+D1=0; A2x+B2y+C2z+D2=0]. Написать уравнения касательной плоскости и нормали к поверхности в найденной точке (точках)

плоскости и нормали
Для заданной поверхности (вар. 21-30) F(x; y; z)=0 в M0(x0; y0; z0) написать уравнения касательной плоскости и нормали
Характеристики домашнего задания
Учебное заведение
Семестр
Номер задания
Вариант
Программы
Просмотров
68
Качество
Идеальное компьютерное
Размер
1,24 Mb
Список файлов
Функции нескольких переменных.pdf

Вам все понравилось? Получите кэшбэк - 40 рублей на Ваш счёт при покупке. Поставьте оценку и напишите положительный комментарий к купленному файлу. После Вы получите деньги на ваш счет.