Для студентов МГТУ им. Н.Э.Баумана по предмету Линейная алгебра и аналитическая геометрияКривые и поверхности второго порядкаКривые и поверхности второго порядка
5,0057
2021-01-312025-05-25СтудИзба
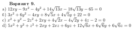
ДЗ 1.2: Кривые и поверхности второго порядка вариант 9
Описание

Характеристики домашнего задания
Учебное заведение
Семестр
Номер задания
Вариант
Просмотров
166
Размер
14,11 Mb
Список файлов
9вариант.pdf
Комментарии
Нет комментариев
Стань первым, кто что-нибудь напишет!
МГТУ им. Н.Э.Баумана
OldmanUFO
















