Для студентов МГТУ им. Н.Э.Баумана по предмету Линейная алгебра и аналитическая геометрияФункции нескольких переменныхФункции нескольких переменных
5,0052
2015-11-142025-08-07СтудИзба
ДЗ 2: Функции нескольких переменных вариант 12
-51%
Описание
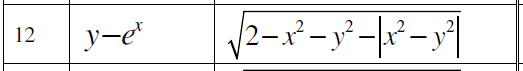
- Задача 1. С помощью линий уровня найти наибольшее и наименьшее значения функции f(x,y) в области определенияфункции g(x,y)
- Задача 2. Показать, что функция z=z(x,y) удовлетворяет данному дифференциальному уравнению, f(t) — произвольная дифференцируемая функция
- Задача З. Проверить, является ли данная дифференциальная форма (А, Б) полным дифференциалом некоторой функции, если является, найти эту функцию
- Задача 4. В точке А найти производную функции u= f(x, у,z) в направлении вектора АВ и максимальную производную по направлению. Указать вектор направления максимальной производной
- Задача 5.
Варианты 11 – 15. На поверхности, заданной уравнением F(x,y,z)=0, найти точки, в которых нормаль к поверхности параллельна прямой (x-x0)/m=(x-y0)/n=(x-z0)/p или [A1x+B1y+C1z+D1=0; A2x+B2y+C2z+D2=0]. Написать уравнения касательной плоскости и нормали к поверхности в найденной точке (точках).

Варианты 21 – 25. Для заданной поверхности найти точки, в которых касательная плоскость к поверхности параллельна плоскости Ax+By+Cz+D=0. Написать уравнения касательной плоскости и нормали к поверхности в найденных точках.
Варианты 26 – 30. На данной поверхности найти точки, в которых нормаль к поверхности параллельна указанной прямой. Написать уравнения касательной плоскости и нормали к поверхности в найденных точках.
Характеристики домашнего задания
Учебное заведение
Семестр
Номер задания
Вариант
Просмотров
203
Качество
Фото рукописных листов
Размер
691,16 Kb
Список файлов
Функции нескольких переменных.pdf

Вам все понравилось? Получите кэшбэк - 40 рублей на Ваш счёт при покупке. Поставьте оценку и напишите положительный комментарий к купленному файлу. После Вы получите деньги на ваш счет.