Для студентов ИДДО НИУ «МЭИ» по предмету Линейная алгебра и аналитическая геометрияКурс Линейная алгебра - КМ-4. Линейные пространства. ТестированиеКурс Линейная алгебра - КМ-4. Линейные пространства. Тестирование
4,99521892
2025-02-272025-02-27СтудИзба
💼 База ответов к тесту КМ-4: Линейные пространства (Курс Линейная алгебра) 📊
Ответы к заданиям КМ-4: Курс Линейная алгебра - КМ-4. Линейные пространства. Тестирование
Описание
Курс Линейная алгебра - КМ-4. Линейные пространства. Тестирование
🔴 Другие тесты и КМ по этому предмету 💯
➡️ Помощь со сдачей ⬅️
➡️ Помощь с ЛЮБЫМ предметом в МЭИ (ИДДО) ⬅️
➡️ Помощь с ЛЮБЫМ тестом в МЭИ (ИДДО) ⬅️
▶️ Помощь с ЛЮБОЙ практикой в МЭИ (ИДДО) ◀️
▶️ 📕 Помощь с ЛЮБОЙ ВКР в МЭИ (ИДДО) 📓 ◀️
🗝️ ▶️ Помощь с сессией под ключ 🗝️ ◀️ 🗝️
🔝 Скорее жми на нужную тебе ссылку 😉
🔴 Другие тесты и КМ по этому предмету 💯
➡️ Помощь со сдачей ⬅️

➡️ Помощь с ЛЮБЫМ предметом в МЭИ (ИДДО) ⬅️
➡️ Помощь с ЛЮБЫМ тестом в МЭИ (ИДДО) ⬅️
▶️ Помощь с ЛЮБОЙ практикой в МЭИ (ИДДО) ◀️
▶️ 📕 Помощь с ЛЮБОЙ ВКР в МЭИ (ИДДО) 📓 ◀️
🗝️ ▶️ Помощь с сессией под ключ 🗝️ ◀️ 🗝️
🔝 Скорее жми на нужную тебе ссылку 😉
Список вопросов
Является ли вектор a = (1;2;3) собственным вектором линейного оператора
матрицей (в каноническом базисе)![]()
матрицей (в каноническом базисе)

Матрица линейного оператора ф в каноническом базисе (R3) есть
Найти собственные числа ф:

Найти собственные числа ф:
Образуют ли базис в R3 вектора a = (1;2;3), b = (2; 4; 6), c = (3;0;1)?
Линейный оператор ф: R3 → R3 определен так: Ф(х) = a * x (a = (1; 2; 3)). Каковы собственные числа ф?
Найти размерность (над R) пространства решений системы уравнений

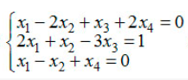
Решить систему уравнений
методом Гаусса.

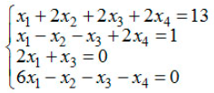
Решить систему уравнений
методом Крамера:

методом Крамера:
Ранг матрицы
равен:

равен:
Решить матричное уравнение ![]()

Решить систему уравнений
с помощью обратной матрицы:

с помощью обратной матрицы:
Решением системы линейных уравнений
является:

Ранг матрицы
равен:

Ранг матрицы A = (1 2 3) равен:
Эти вопросы в других коллекциях
Характеристики ответов (шпаргалок) к заданиям
Тип
Коллекция: Ответы (шпаргалки) к заданиям
Учебное заведение
Номер задания
Теги
Просмотров
3
Качество
Идеальное компьютерное
Количество вопросов
Преподаватели

Гарантия сдачи без лишних хлопот! ✅🎓 Ответы на тесты по любым дисциплинам, базы вопросов, работы и услуги для Синергии, МЭИ и других вузов – всё уже готово! 🚀 🎯📚 Гарантия качества – или возврат денег! 💰✅