Для студентов ИДДО НИУ «МЭИ» по предмету Линейная алгебра и аналитическая геометрияИтоговый тест АТТИтоговый тест АТТ
5,0051
2024-01-092025-01-01СтудИзба
Итоговый тест по линейной алгебре
Ответы к экзамену АТТ: Итоговый тест АТТ
Описание
Итоговый тест АТТ по линейной алгебре. Решённый на оценку 5.
Сами вопросы из теста:
1 Чему равен элемент а11 для матрицы А =(1/3 * 2/4):
2 Найти определитель матрицы А = (1/5 * 3/(-2)).
3 Найти расстояние от точки А(12;3) до плоскости 3у+ 4z= 2:
4 Написать уравнение прямой, проходящей через точку А(:2:3) параллельно векторуб-(-2:3,0р.
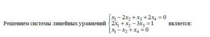
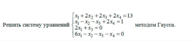
5
6
7
8
9
10
11
12
13
14 Верно ли, что если определитель матрицы системы линейных уравнений равен нулю, то система имеет бесконечно много решений?
15 Может ли линейный оператор иметь ровно два различных собственных вектора?
16 Верно ли, что определитель матрицы с двумя одинаковыми столбцами равен 0?
17 Верно ли, что ранг матрицы - это всегда число строк в матрице?
18 Могут ли матрицы линейного оператора в двух различных базисах быть одинаковыми?
19 Скалярное произведение векторов - это
20 Может ли конечномерное линейное пространство не иметь базиса?Показать/скрыть дополнительное описание
Сами вопросы из теста:
1 Чему равен элемент а11 для матрицы А =(1/3 * 2/4):
2 Найти определитель матрицы А = (1/5 * 3/(-2)).
3 Найти расстояние от точки А(12;3) до плоскости 3у+ 4z= 2:
4 Написать уравнение прямой, проходящей через точку А(:2:3) параллельно векторуб-(-2:3,0р.
5
6
7
8
9
10
11
12
13
14 Верно ли, что если определитель матрицы системы линейных уравнений равен нулю, то система имеет бесконечно много решений? 15 Может ли линейный оператор иметь ровно два различных собственных вектора?
16 Верно ли, что определитель матрицы с двумя одинаковыми столбцами равен 0?
17 Верно ли, что ранг матрицы - это всегда число строк в матрице?
18 Могут ли матрицы линейного оператора в двух различных базисах быть одинаковыми?
19 Скалярное произведение векторов - это
20 Может ли конечномерное линейное пространство не иметь базиса?Показать/скрыть дополнительное описание
Итоговый тест по линейной алгебре.
Характеристики ответов (шпаргалок) к экзамену
Учебное заведение
Номер задания
Программы
Просмотров
19
Качество
Идеальное компьютерное
Размер
633,48 Kb
Список файлов
1 вопрос.jpg
2 вопрос.jpg
3 вопрос.jpg
4 вопрос.jpg
5 вопрос.jpg
6 вопрос.jpg
7 вопрос.jpg
8 вопрос.jpg
9 вопрос.jpg
10 вопрос.jpg
11 вопрос.jpg
12 вопрос.jpg
13 вопрос.jpg
14 вопрос.jpg
15 вопрос.jpg
16 вопрос.jpg
17 вопрос.jpg
18 вопрос.jpg
19 вопрос.jpg
20 вопрос.jpg
Пруфы.jpg
Алёна Руденко
Комментарии
Нет комментариев
Стань первым, кто что-нибудь напишет!
ИДДО НИУ «МЭИ»
alena.rudenko.88


















