Для студентов МГТУ им. Н.Э.Баумана по предмету Кратные интегралы и рядыКратные и криволинейные интегралыКратные и криволинейные интегралы
4,90546940
2025-02-072025-02-07СтудИзба
ДЗ 1: Кратные и криволинейные интегралы вариант 3
-66%
Описание
Вариант 3 - ДЗ №1 - Кратные интегралы и ряды – ИУ, РЛ, БМТ
Зачтено на максимальный балл 💥 💥 💥
Спасибо за покупку 🥰🥰 🥰
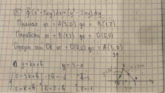
Пример:






Характеристики домашнего задания
Предмет
Учебное заведение
Семестр
Номер задания
Вариант
Программы
Просмотров
51
Размер
5,13 Mb
Список файлов
Вариант 3 - ДЗ №1 - Кратные интегралы и ряды – ИУ, РЛ, БМТ.docx

Друзья, спасибо за доверие! Если вам понравилась работа – поставьте 5⭐ и напишите отзыв. Это поможет другим студентам, а мне даст силы делать ещё больше качественных материалов для вас 🔥