Для студентов МГТУ им. Н.Э.Баумана по предмету Кратные интегралы и рядыТеория поляТеория поля
5,0051
2023-11-022023-11-02СтудИзба
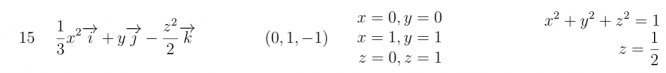
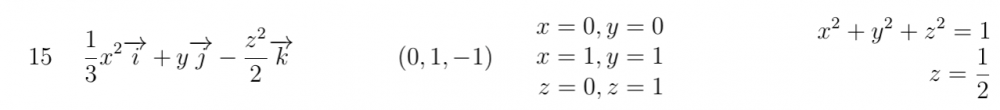
ДЗ 2: Теория поля вариант 15
Описание
Характеристики домашнего задания
Предмет
Учебное заведение
Семестр
Номер задания
Вариант
Просмотров
36
Качество
Фото рукописных листов
Размер
2,47 Mb
Список файлов
ТП15.pdf

Vladelo