Для студентов МГТУ им. Н.Э.Баумана по предмету Кратные интегралы и рядыФункциональные рядыФункциональные ряды
5,0051
2023-08-252024-09-04СтудИзба
Вариант 8 - Дз-3 "Функциональные ряды"
ДЗ 3.2: Функциональные ряды вариант 8
-43%
Описание
Типовой расчет по математическому анализу №3, 4 задачи: "Функциональные ряды", зачтено
Задача 1:
Задача 2:
Задача 3:
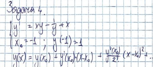
Задача 4:
Показать/скрыть дополнительное описание
Задача 1:




Типовой расчет по математическому анализу МГТУ 3 семестр домашнее задание кратные криволинейные поверхностные интегралы теория поля ряды.
Характеристики домашнего задания
Предмет
Учебное заведение
Семестр
Номер задания
Вариант
Просмотров
32
Качество
Скан рукописных листов
Размер
759,25 Kb
Список файлов
Вариант 8 Ряды 6.pdf

Спасибо за покупку! Я буду очень рад, если поставишь справедливую оценку купленному файлу :3 Ищи больше работ в моём профиле, там много нужного тебе!