Для студентов МГТУ им. Н.Э.Баумана по предмету Кратные интегралы и рядыКратные и криволинейные интегралыКратные и криволинейные интегралы
5,0051
2023-02-092024-09-03СтудИзба
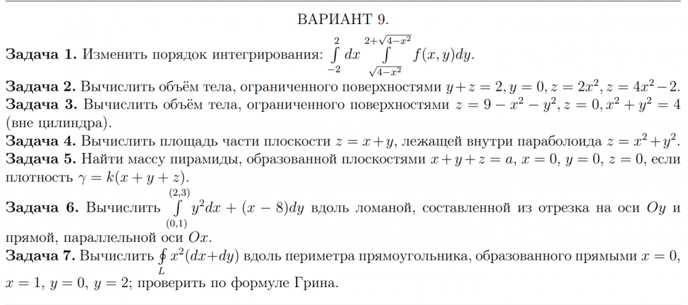
ДЗ 1: Кратные и криволинейные интегралы вариант 9
-66%
Описание
Вариант 9 - ДЗ №1 - Кратные интегралы - СМ, ФН, РК4, ФН-2
Зачтено на максимальный балл 💥 💥 💥
Спасибо за покупку 🥰🥰 🥰
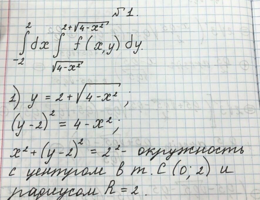
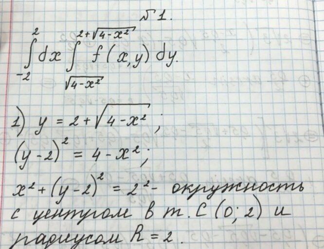
Пример решения:





Файлы условия, демо
Характеристики домашнего задания
Предмет
Учебное заведение
Семестр
Номер задания
Вариант
Просмотров
227
Размер
12,53 Mb
Список файлов
1.jpg
2.jpg
3.jpg
4.jpg
5.jpg
6.jpg
7.jpg
8.jpg
9.jpg
10.jpg
11.jpg
12.jpg
13.jpg
14.jpg
15.jpg
16.jpg
17.jpg
18.jpg
19.jpg
20.jpg
21.jpg
22.jpg
23.jpg
24.jpg
Задача 6.pdf
Задача 7.pdf

Друзья, спасибо за доверие! Если вам понравилась работа – поставьте 5⭐ и напишите отзыв. Это поможет другим студентам, а мне даст силы делать ещё больше качественных материалов для вас 🔥