Для студентов МГТУ им. Н.Э.Баумана по предмету Кратные интегралы и рядыКратные интегралы, Ряды, Теория функций комплексного переменногоКратные интегралы, Ряды, Теория функций комплексного переменного
5,0051
2023-01-312025-10-04СтудИзба
ДЗ 2: Кратные интегралы, Ряды, Теория функций комплексного переменного вариант 25
-15%
Описание
При покупке Вы можете получить подарок 20 руб.
Зачтено на максимальный балл!!!
Не только копировать, а нужно понимать!
Задача 1: Вычислить указанные значения функций.
Задача 2 : Установить, может ли данная функция служить вещественной или мнимой частью некоторой аналитической функции и если может, восстановить эту функцию.

Задача 3: Определить круг сходимости степенного ряда. Выяснить, сходится ли ряд в заданной точке z1, z2,z3 ( если сходится, то как: абсолютно или условно). Сделать рисунок.



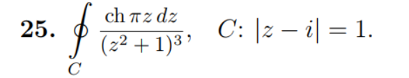
Задача 6: Вычислить интеграл.

Характеристики домашнего задания
Предмет
Учебное заведение
Семестр
Номер задания
Вариант
Просмотров
72
Качество
Фото рукописных листов
Размер
3,52 Mb
Список файлов
№1.jpg
№2_1.jpg
№2_2.jpg
№3_1.jpg
№3_2.jpg
№4_1.jpg
№4_2.jpg
№5_1.jpg
№5_2.jpg
№5_3.jpg
№5_4.jpg
№6.jpg

Ваше удовлетворение является нашим приоритетом. Вставьте 5 звезд и позитивные комментарии сразу дам Вам подарок. Благодарю за использование моей службы!!