Для студентов МГТУ им. Н.Э.Баумана по предмету Кратные интегралы и рядыКратные интегралыКратные интегралы
5,0051
2022-10-232024-10-08СтудИзба
ДЗ 1: Кратные интегралы вариант 1
-32%
Описание
Полностью зачтенный типовой расчет по матанализу. Отличное качество файла.
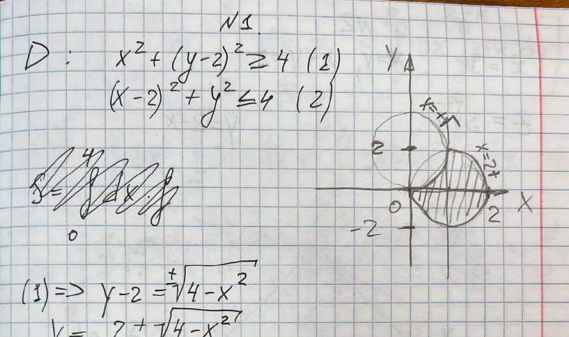
Условие:
Условие:
![]()
Условие:






Файлы условия, демо
Характеристики домашнего задания
Предмет
Учебное заведение
Семестр
Номер задания
Вариант
Программы
Просмотров
50
Качество
Фото рукописных листов
Размер
3,81 Mb
Список файлов
кратинты.pdf

Котики подняли настроение тебе, а поставив 5 звёзд на купленный файл, ты поднимешь его мне. Спасибо!