Для студентов МГТУ им. Н.Э.Баумана по предмету Кратные интегралы и рядыКратные и криволинейные интегралыКратные и криволинейные интегралы
5,00511
2022-09-302024-09-03СтудИзба
ДЗ 1: Кратные и криволинейные интегралы вариант 14
-66%
Описание
Вариант 14 - ДЗ №1 - Кратные интегралы - СМ,ФН,РК4,ФН2
Зачтено на максимальный балл 💥 💥 💥
Спасибо за покупку 🥰🥰 🥰
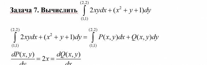
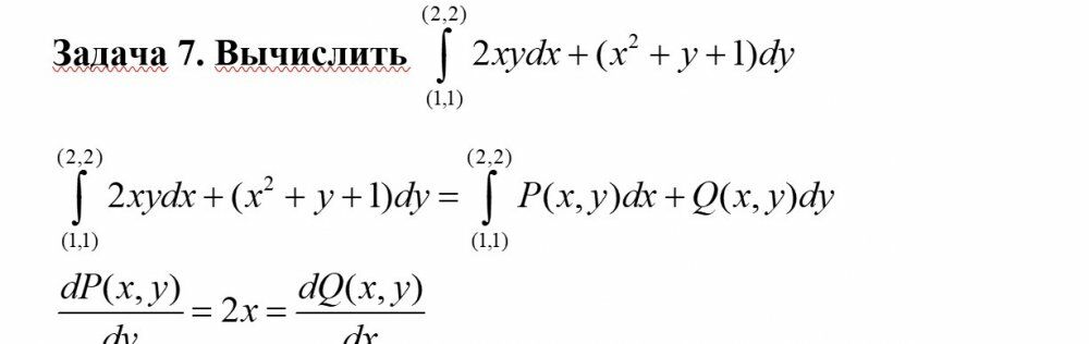
Пример решения:






Файлы условия, демо
Характеристики домашнего задания
Предмет
Учебное заведение
Семестр
Номер задания
Вариант
Программы
Просмотров
396
Размер
730,54 Kb
Список файлов
Вариант 14 - ДЗ №1 - Кратные интегралы фн2.docx

Друзья, спасибо за доверие! Если вам понравилась работа – поставьте 5⭐ и напишите отзыв. Это поможет другим студентам, а мне даст силы делать ещё больше качественных материалов для вас 🔥