Для студентов МГТУ им. Н.Э.Баумана по предмету Кратные интегралы и рядыЧисловые рядыЧисловые ряды
5,0055
2020-12-172020-12-17СтудИзба
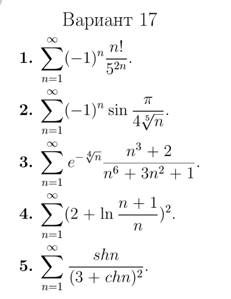
ДЗ 3.1: Числовые ряды вариант 17
Описание

Решение проверенное преподавателем, хорошо оформленное
Характеристики домашнего задания
Предмет
Учебное заведение
Семестр
Номер задания
Вариант
Просмотров
85
Размер
5,23 Mb
Список файлов
Ряды_вариант_17_часть_1_идеально.pdf