Для студентов МГТУ им. Н.Э.Баумана по предмету Кратные интегралы и рядыОтветы и на теорию и решенные задачиОтветы и на теорию и решенные задачи
5,0058
2020-08-252020-08-25СтудИзба
Ответы к экзамену: Ответы и на теорию и решенные задачи
Описание
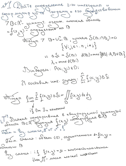
Есть ответы на теоретические вопросы:
Кроме этих вопросов, много теории в разнобой по темам (например):
Решены задачи из билетов:
![]()
Кроме этих вопросов, много теории в разнобой по темам (например):
Решены задачи из билетов:

Характеристики ответов (шпаргалок) к экзамену
Предмет
Учебное заведение
Семестр
Просмотров
255
Размер
7,16 Mb
Список файлов
кратные интегралы и ряды.pdf
Вопросы
Вопрос
ни один билет не решен полностью
Вопрос
нет решения всех билетов
МГТУ им. Н.Э.Баумана
catspinner



















