Для студентов ИДДО НИУ «МЭИ» по предмету Компьютерные сетиРасчет и анализ производительности WANРасчет и анализ производительности WAN
5,0052
2020-10-282020-10-28СтудИзба
Задача 6: Расчет и анализ производительности WAN вариант 3
Описание
Научно-исследовательский университет
МОСКОВСКИЙ ЭНЕРГЕТИЧЕСКИЙ ИНСТИТУТ
Институт дистанционного и дополнительного образования
Расчетно-графическая работа по курсу
«Компьютерные сети »
Тема: Расчет и анализ производительности WAN
Выполнил: студент <>_<>
Принял: преподаватель Абросимов Л.И.
Москва, 2020 год
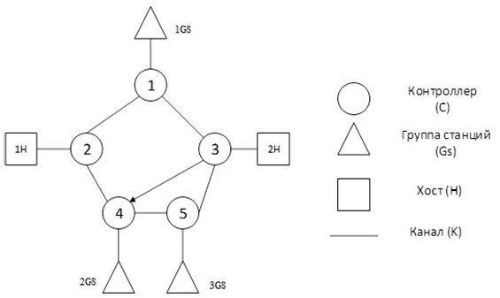
Расчетное задание №6
Вариант 3

Нелинейные уравнения баланса для контуров
Оценка 5
Характеристики решённой задачи
Предмет
Учебное заведение
Номер задания
Вариант
Просмотров
124
Размер
304,26 Kb
Список файлов
rashetnay_rabota_6-3.docx
Dupley Maxim Igorevich
Комментарии
Нет комментариев
Стань первым, кто что-нибудь напишет!
ИДДО НИУ «МЭИ»
QuadD4rv1n7


















