Для студентов ИДДО НИУ «МЭИ» по предмету Компьютерные сетиПомощь со сдачей - КМ-5. Компьютерные сети.Помощь со сдачей - КМ-5. Компьютерные сети.
5,00537
2025-04-172025-04-20СтудИзба
📝Помощь с письменной работой «КМ-5: Компьютерные сети» в ИДДО – гарантия результата!☑️
Услуга: Помощь со сдачей - КМ-5. Компьютерные сети.
Описание
Помощь со сдачей письменной работы - КМ-5 по предмету Компьютерные сети.
➡️ Другие работы по курсу ⬅️ | Отдельные ответы по предмету
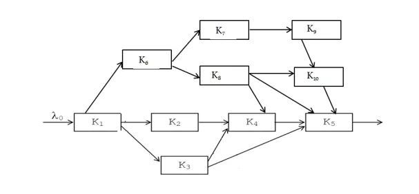
Задание.
Задание 5. N - последняя цифра в зачётной книжке. Если переход осуществляется из одного узла в несколько, то вероятность перехода в узел с наименьшим индексом равна 0,06N+ 0.12, а вероятности перехода в остальные узлы равны. Составьте систему линейных уравнений для данной сети. Используя её, определите коэффициенты базовых интенсивностей.
➡️Любой предмет | Любой тест | Любая практика | ВКР (Диплом)⬅️
🗝️ ▶Помощь с сессией/долгами под ключ ◀ 🗝️
➡️ Другие работы по курсу ⬅️ | Отдельные ответы по предмету
Задание.
Задание 5. N - последняя цифра в зачётной книжке. Если переход осуществляется из одного узла в несколько, то вероятность перехода в узел с наименьшим индексом равна 0,06N+ 0.12, а вероятности перехода в остальные узлы равны. Составьте систему линейных уравнений для данной сети. Используя её, определите коэффициенты базовых интенсивностей.

🗝️ ▶Помощь с сессией/долгами под ключ ◀ 🗝️
Характеристики домашнего задания
Предмет
Учебное заведение
Номер задания
Теги
Просмотров
18
Качество
Идеальное компьютерное
Срок выполнения
1 суток
Преподаватели

Гарантия сдачи без лишних хлопот! ✅🎓 Ответы на тесты по любым дисциплинам, базы вопросов, работы и услуги для Синергии, МЭИ и других вузов – всё уже готово! 🚀 🎯📚 Гарантия качества – или возврат денег! 💰✅