📘 КМ-5 по предмету «Компьютерные сети» в НИУ МЭИ (ИДДО) – качественная помощь и гарантия успешной сдачи! 🖥️
Описание
➡️ Готовые работы по этому курсу ⬅️
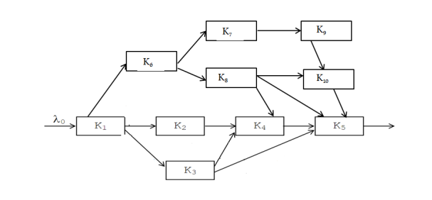
Задание 5. N - последняя цифра в зачётной книжке. Если переход осуществляется из одного узла в несколько, то вероятность перехода в узел с наименьшим индексом равна 0,06N+ 0.12, а вероятности перехода в остальные узлы равны. Составьте систему линейных уравнений для данной сети. Используя её, определите коэффициенты базовых интенсивностей.

КМ-5 по компьютерным сетям НИУ МЭИ, контрольная работа КМ-5 в СДО Прометей, помощь с выполнением КМ-5 по сетевым технологиям, сдача КМ-5 для студентов ИДДО, готовые решения задач по КМ-5, профессиональная помощь с контрольной работой по сетям, контрольное мероприятие 5 по сетевым дисциплинам, сдача КМ-5 в НИУ МЭИ с гарантией результата, помощь с заданиями по компьютерным сетям для КМ-5, где заказать выполнение КМ-5 по сетевым дисциплинам, ответы на контрольную работу по компьютерным сетям, решение задач по сетевым технологиям в рамках КМ-5, сдача контрольного мероприятия 5 для студентов ИДДО, выполнение КМ-5 по сетям с соблюдением стандартов преподавателя, помощь с сетевыми протоколами и технологиями КМ-5, консультации и профессиональная поддержка при сдаче КМ-5, сдача контрольных заданий по сетевым дисциплинам для НИУ МЭИ..
Файлы условия, демо

👉 Просто нажмите кнопку Написать эксперту — я сразу отвечу, помогу разобраться и оформить всё за вас. 💬
🔥 Быстро. Удобно. Без лишних сложностей!
ИДДО НИУ «МЭИ» 
meimei1337








