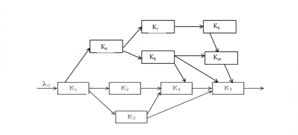
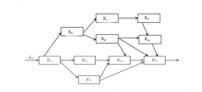
Для студентов ИДДО НИУ «МЭИ» по предмету Компьютерные сетиСоставьте систему линейных уравнений для данной сети. Используя её, определите коэффициенты базовых интенсивностей.Составьте систему линейных уравнений для данной сети. Используя её, определите коэффициенты базовых интенсивностей.
5,0052
2024-01-152024-12-01СтудИзба
Если переход осуществляется из одного узла в несколько, то вероятность перехода в узел с наименьшим индексом равна 0,06N+ 0.12, а вероятности перехода в остальные узлы равны.
ДЗ КМ-5: Составьте систему линейных уравнений для данной сети. Используя её, определите коэффициенты базовых интенсивностей.
Описание
Задание по компьютерным сетям. Оценка 5
Условия задачи:
Если переход осуществляется из одного узла в несколько, то вероятность
перехода в узел с наименьшим индексом равна 0,06N+ 0.12, а вероятности
перехода в остальные узлы равны.
Составьте систему линейных уравнений для данной сети. Используя её,
определите коэффициенты базовых интенсивностей.Показать/скрыть дополнительное описание
Условия задачи:
Если переход осуществляется из одного узла в несколько, то вероятность
перехода в узел с наименьшим индексом равна 0,06N+ 0.12, а вероятности
перехода в остальные узлы равны.
Составьте систему линейных уравнений для данной сети. Используя её,
определите коэффициенты базовых интенсивностей.Показать/скрыть дополнительное описание
Если переход осуществляется из одного узла в несколько, то вероятность перехода в узел с наименьшим индексом равна 0,06N+ 0.12, а вероятности перехода в остальные узлы равны..
Файлы условия, демо
Характеристики домашнего задания
Предмет
Учебное заведение
Номер задания
Вариант
Просмотров
23
Качество
Идеальное компьютерное
Размер
215,45 Kb
Список файлов
КМ-5 8 вариант.docx
Алёна Руденко
ИДДО НИУ «МЭИ»
alena.rudenko.88


















