Для студентов МТУСИ по предмету Электромагнитные поля и волны (ЭПиВ)Домашнее задание по курсу ЭМПиВ (6 задач)Домашнее задание по курсу ЭМПиВ (6 задач)
4,915206
2022-11-072022-11-07СтудИзба
ДЗ: Домашнее задание по курсу ЭМПиВ (6 задач) вариант 16
Описание
Задача 1
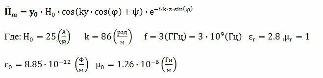
В области определения задано магнитное поле
Требуется определить: - 1. вектор электрической индукции в заданной области определения
- 2. вычислить модули и начальные фазы векторов Е и Н в точке М (13см,48см,75см)
- 3. определить направление векторов в заданной точке
Задача 2
Определить: - 1. частоту f0 ,при которой амплитуды плотности тока смещения и плотности тока проводимости будут равны в заданной среде;
- 2. определить на какой из частот f1 = 28 кГц , f2 = 95 МГц и f3 = 150 ГГц заданная среда является проводником, диэлектриком или обладает полупроводящими свойствами
- 3. записать комплексную диэлектрическую проницаемость, вычислить её для заданной среды на частотах f1 =120 МГц и f2 = 600 ГГц
- 4. записать тангенс угла диэлектрических потерь, вычислить его для заданной среды на частотах f1 =120 МГц и f2 = 600 ГГц
Задача 1
Прямоугольная площадка, выполненная из идеального металла, расположена в плоскости ZoY. Площадка имеет размеры 20 см х 40см и окружена идеальным диэлектриком с параметрами εr = 7, μr=2. По площадке протекает поверхностный ток, плотность которого
Js= y0 2.05 A/ м2 .
1. Определить величину и направление вектора H вблизи площадки, пренебрегая краевым эффектом.
2. Определить величину и направление вектора магнитной индукции вблизи площадки.
Задача 2
Два идеальных диэлектрика разделяет бесконечная плоскость YoZ.
Векторы напряженностей электрического поля направлены под углами α1 = 650 в первом диэлектрике и α2 =150 во втором относительно оси оХ, нормальной границе раздела.
Определить: 1. диэлектрическую проницаемость второго диэлектрика;
2. модуль вектора Е во второй среде;
3. векторы электрического смещения в обеих средах вблизи границы
Задача 1
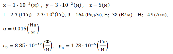
1. Записать мгновенное и среднее за период значения вектора Пойнтинга, если
2. Вычислить вектор Пойнтинга в точке М(1 см, 3 см, 5 м) при
Задача 2
Используя исходные данные Задачи 1:
1. определить среднее, а период значение объемной плотности энергии электрического поля в среде с параметрами εr=4; μr=1;
2. вычислить это значение в точке М
Файлы условия, демо
Характеристики домашнего задания
Учебное заведение
Вариант
Программы
Просмотров
6
Качество
Файлы различного качества
Размер
340,63 Kb
Список файлов
ЭМПиВ Вариант16.docx
№2 ЭМПиВ Вариант №16.docx
№3 ЭМПиВ Вариант №16.docx
Комментарии
Нет комментариев
Стань первым, кто что-нибудь напишет!
МТУСИ

















