Для студентов ИДДО НИУ «МЭИ» по предмету Исследование операцийКМ-4 - Нелинейное программированиеКМ-4 - Нелинейное программирование
5,0057
2026-01-082026-01-08СтудИзба
КМ-4 - Нелинейное программирование ГОТОВАЯ
Задача КМ-4: КМ-4 - Нелинейное программирование
Описание
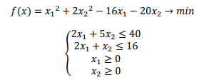
ЗАДАНИЕ 1
Дана задача нелинейного программирования.
Требуется:
1) найти решение графическим методом,
2) написать функцию Лагранжа данной задачи и найти её седловую точку, используя решение задачи, полученное графически:
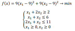
ЗАДАНИЕ 2
Дана задача нелинейного программирования.
Требуется:
Используя графический метод, решить следующую задачу:
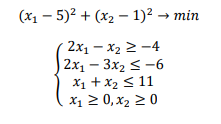
ЗАДАНИЕ 3
Дана задача нелинейного программирования.
Требуется:
найти решение, используя метод Куна-Таккера
Показать/скрыть дополнительное описание
Дана задача нелинейного программирования.
Требуется:
1) найти решение графическим методом,
2) написать функцию Лагранжа данной задачи и найти её седловую точку, используя решение задачи, полученное графически:
ЗАДАНИЕ 2
Дана задача нелинейного программирования.
Требуется:
Используя графический метод, решить следующую задачу:
ЗАДАНИЕ 3
Дана задача нелинейного программирования.
Требуется:
найти решение, используя метод Куна-Таккера
Показать/скрыть дополнительное описаниеЭкспресс решение.
Файлы условия, демо
Характеристики решённой задачи
Предмет
Учебное заведение
Номер задания
Программы
Просмотров
2
Качество
Идеальное компьютерное
Размер
519,35 Kb
Преподаватели
Список файлов
Исследование_опр._КМ-4.docx
Возникли вопросы к материалу? Напиши в сообщения и решим возникший вопрос!
Комментарии
Нет комментариев
Стань первым, кто что-нибудь напишет!
ИДДО НИУ «МЭИ» 
GDZ

















