ДЗ КМ-4: КМ-4. Нелинейное программирование. Письменная работа вариант 4
Новинка
Описание
☑️ Готовая работа - КМ-4. Нелинейное программирование. Письменная работа, по курсу Исследование операций. Вариант 4.
➡️ Готовые работы по курсу ⬅️▶️ Помощь с работами по курсу ◀️
Задание:
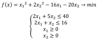
ЗАДАНИЕ 1Дана задача нелинейного программирования.
Требуется: найти решение, используя метод Куна-Таккера
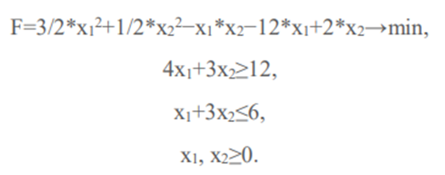
Задача 2. Для следующей задачи нелинейного программирования
а) доказать, что функция является выпуклой
b) найти минимум целевой функции без учета ограничений с помощью градиентных
методов
с) найти минимум целевой функции с учетом ограничений
Полное задание смотрите в "демо".
Курс Исследование операций ( ИДДО ИО-Б-4-1-ЗаО ) - КМ-4. Нелинейное программирование. Письменная работа.
Файлы условия, демо
Характеристики домашнего задания
Предмет
Учебное заведение
Номер задания
Вариант
Программы
Теги
Просмотров
0
Качество
Идеальное компьютерное
Размер
87,9 Kb
Преподаватели
Список файлов
Исследование операций. КМ-4. Вариант 4.docx
Комментарии
Нет комментариев
Стань первым, кто что-нибудь напишет!
ИДДО НИУ «МЭИ» 
studizboss







