ДЗ КМ-4: КМ-4. Нелинейное программирование. Письменная работа
Новинка
Описание
☑️ Готовая работа - КМ-4. Нелинейное программирование. Письменная работа, по курсу Исследование операций
➡️ Готовые работы по курсу ⬅️▶️ Помощь с работами по курсу ◀️
Задание:
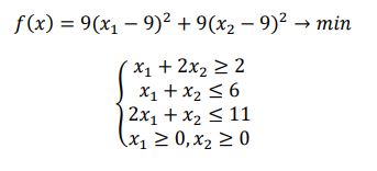
ЗАДАНИЕ 1Дана задача нелинейного программирования.
Требуется:
1) найти решение графическим методом
2) написать функцию Лагранжа данной задачи и найти её седловую точку, используя решение задачи, полученное графически:
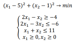
ЗАДАНИЕ 2 Дана задача нелинейного программирования.
Требуется:
Используя графический метод, решить следующую задачу:
ЗАДАНИЕ 3
Дана задача нелинейного программирования.
Требуется: найти решение, используя метод Куна-Таккера
Полное задание смотрите в "демо".
Курс Исследование операций ( ИДДО ИО-Б-4-1-ЗаО ) - КМ-4. Нелинейное программирование. Письменная работа.
Файлы условия, демо
Характеристики домашнего задания
Предмет
Учебное заведение
Номер задания
Программы
Теги
Просмотров
0
Качество
Идеальное компьютерное
Размер
237,07 Kb
Преподаватели
Список файлов
Задание. Исследование операций. КМ-4. Вариант -.docx
Комментарии
Нет комментариев
Стань первым, кто что-нибудь напишет!
ИДДО НИУ «МЭИ» 
studizboss







