Для студентов НИУ «МЭИ» по предмету Интеллектуальные информационные системы (ИИС)Алгебра логики высказываний.Алгебра логики высказываний.
4,955168
2024-12-142024-12-14СтудИзба
Интеллектуальные информационные системы - КМ-1. Алгебра логики высказываний. Контрольная работа
Задача КМ-1: Алгебра логики высказываний.
Описание
Задача решена на оценку 5. КМ-1. Алгебра логики высказываний. Контрольная работа.
Условие задачи:
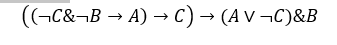
1. Для формализованного в задаче 3 рассуждения доказать логическое следствие заключения из посылок.
2. Заданную формулу привести к дизъюнктивной нормальной форме (ДНФ) и к конъюнктивной нормальной форме (КНФ). Преобразования выполнять аналитически.
3. Для заданной формулы алгебры логики построить таблицу истинности.
4. Доказать справедливость рассуждения (взять свой вариант из задания 3) методом резолюции.
Формализация рассуждения.
Показать/скрыть дополнительное описание
Условие задачи:
1. Для формализованного в задаче 3 рассуждения доказать логическое следствие заключения из посылок.
2. Заданную формулу привести к дизъюнктивной нормальной форме (ДНФ) и к конъюнктивной нормальной форме (КНФ). Преобразования выполнять аналитически.

3. Для заданной формулы алгебры логики построить таблицу истинности.

4. Доказать справедливость рассуждения (взять свой вариант из задания 3) методом резолюции.
Формализация рассуждения.

Интеллектуальные информационные системы - КМ-1. Алгебра логики высказываний. Контрольная работа.
Характеристики решённой задачи
Учебное заведение
Номер задания
Программы
Просмотров
4
Качество
Идеальное компьютерное
Размер
36,28 Kb
Список файлов
Алгебра логики высказываний.docx
Алёна Руденко