Для студентов ИДДО НИУ «МЭИ» по предмету Интеллектуальные информационные системы (ИИС)Интеллектуальные информационные системы - КМ-4. Методы доказательства рассуждений в логических системах. ТестированиеИнтеллектуальные информационные системы - КМ-4. Методы доказательства рассуждений в логических системах. Тестирование
5,0051
2025-11-242025-11-24СтудИзба
Ответы к заданиям КМ-4: Интеллектуальные информационные системы - КМ-4. Методы доказательства рассуждений в логических системах. Тестирование
Новинка
Описание
Интеллектуальные информационные системы - КМ-4. Методы доказательства рассуждений в логических системах. Тестирование
🔴 Другие тесты | Отдельные ответы по предмету | Помощь со сдачей ⬅️
⬇️ Помощь с другими работами (нажимайте на нужную ссылку) ⬇️
➡️Любой предмет/КМ | Любой тест | Любая практика | ВКР (Диплом)⬅️
🗝️ ▶ Сессия под ключ/закрытие долгов ◀ 🗝️
🔴 Другие тесты | Отдельные ответы по предмету | Помощь со сдачей ⬅️
➡️Любой предмет/КМ | Любой тест | Любая практика | ВКР (Диплом)⬅️
🗝️ ▶ Сессия под ключ/закрытие долгов ◀ 🗝️
Список вопросов
Примечание: В математической логике, в отличие от схемотехники, принято использовать обозначения И
(истина) и Л (ложь) для значений атомарных высказываний. При работе с высказываниями,
представленными в виде формул, допустимо использовать обозначения 1 (истина) и 0 (ложь) для
наглядности. Правила выполнения логических операций представлены в таблицах в лекционном
материале.
Какая логическая операция задана таблицей:
(истина) и Л (ложь) для значений атомарных высказываний. При работе с высказываниями,
представленными в виде формул, допустимо использовать обозначения 1 (истина) и 0 (ложь) для
наглядности. Правила выполнения логических операций представлены в таблицах в лекционном
материале.
Какая логическая операция задана таблицей:
Даны формулы F1, F2, ., Fn и G.
Формула G является логическим следствием формул F1, F2, .. , Fn
если:
А) для всех интерпретаций, в которых истинны F1, F2, .. , Fn, истинно также G;
Б) формула F1 & F2 & ... & Fn -> G общезначима;
В) формула F1 & F2 & ... & Fn & -G противоречива.
Какое из определений является правильным?
Формула G является логическим следствием формул F1, F2, .. , Fn
если:
А) для всех интерпретаций, в которых истинны F1, F2, .. , Fn, истинно также G;
Б) формула F1 & F2 & ... & Fn -> G общезначима;
В) формула F1 & F2 & ... & Fn & -G противоречива.
Какое из определений является правильным?
Формулу
необходимо привести к Сколемовской стандартной форме.
Какой вариант преобразования будет правильным:
![]()
необходимо привести к Сколемовской стандартной форме. Какой вариант преобразования будет правильным:

Какие пары формул исчисления высказываний, приведенные ниже, не являются
равносильными:
равносильными:
Какие из приведенных формул являются тавтологиями:
Дана логическая формула F.
Что называется интерпретацией формулы
Что называется интерпретацией формулы
Даны две логические формулы:
Эти формулы
Эти формулы Какие из приведенных формул исчисления предикатов содержат свободные переменные, и,
следовательно, не могут принять конкретное значение И или Л:
![]()
следовательно, не могут принять конкретное значение И или Л:

Являются ли две приведенные формулы исчисления высказываний равносильными?
![]()

Две логические формулы, значения которых совпадают на всех интерпретациях, называются:
В логике высказываний используется определение:
Высказывание - это предложение, в котором содержится какая-то информация и которое
может быть оценено как истинное или ложное. Такие высказывания называют атомарными
высказываниями, или атомами.
Рассмотрим фразы:
А) Коля выучил уроки.
Б) Число х делится на 5.
В) Сегодня идет дождь.
Г) Стойте справа, проходите слева.
Д) На столе лежит книга.
Какие из них являются высказываниями?
Высказывание - это предложение, в котором содержится какая-то информация и которое
может быть оценено как истинное или ложное. Такие высказывания называют атомарными
высказываниями, или атомами.
Рассмотрим фразы:
А) Коля выучил уроки.
Б) Число х делится на 5.
В) Сегодня идет дождь.
Г) Стойте справа, проходите слева.
Д) На столе лежит книга.
Какие из них являются высказываниями?
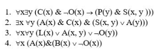
Какие из приведенных четырёх формул логики предикатов представлены в Сколемовской
стандартной форме (ССФ)
стандартной форме (ССФ)
Характеристики ответов (шпаргалок) к заданиям
Тип
Коллекция: Ответы (шпаргалки) к заданиям
Учебное заведение
Номер задания
Теги
Просмотров
0
Качество
Идеальное компьютерное
Количество вопросов
Преподаватели
Комментарии
Нет комментариев
Стань первым, кто что-нибудь напишет!
ИДДО НИУ «МЭИ» 
studizboss















