Для студентов МГТУ им. Н.Э.Баумана по предмету Интегралы и дифференциальные уравнения (ИиДУ)Дифференциальные уравненияДифференциальные уравнения
4,9957703
2025-09-112025-09-11СтудИзба
💥💥💥ДЗ № 2 - Вариант 9 - Дифференциальные уравнения для МТ, РК, Э-5, ИБМ 🌟🌟🌟
ДЗ 2: Дифференциальные уравнения вариант 9
-51%
Описание
🌟ДЗ БЫЛО ПРОВЕРЕНО И ЗАЧТЕНО НА МАКСИМУМ! 💥💥💥

ДЕМО
📌Задача 1

📌Задача 2

📌Задача 3

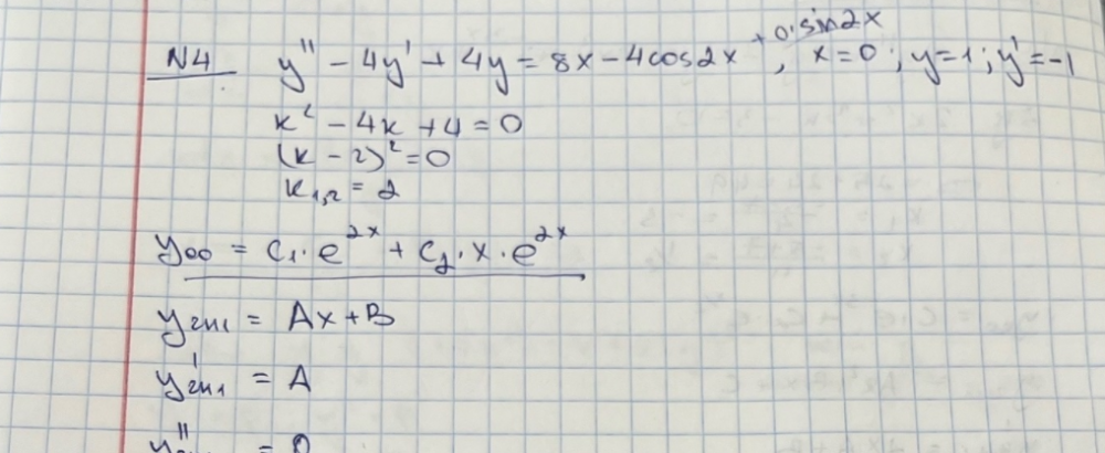
📌Задача 4

📌Задача 5

Вариант 9 - Дифференциальные уравнения.
Характеристики домашнего задания
Учебное заведение
Семестр
Номер задания
Вариант
Программы
Просмотров
3
Качество
Скан рукописных листов
Размер
6,93 Mb
Список файлов
1.jpg
2.jpg
3.jpg
4.jpg
5.jpg
6.jpg
7.jpg

Если работа Вам была полезна, Пожалуйста, потратьте несколько секунд, чтобы оставить нам 5 ЗВЁЗД и положительный отзывы. Мы Вам глубоко признателены!