Для студентов МГТУ им. Н.Э.Баумана по предмету Интегралы и дифференциальные уравнения (ИиДУ)Дифференциальные уравнения высших порядковДифференциальные уравнения высших порядков
5,005121
2023-05-212025-02-11СтудИзба
Вариант 6 - ДЗ №2 - "Дифференциальные уравнения высших порядков" - 5 задач
ДЗ 2: Дифференциальные уравнения высших порядков вариант 6
-43%
Описание
Типовой расчет №2 по математическому анализу, "Дифференциальные уравнения высших порядков", зачтено
Условие:
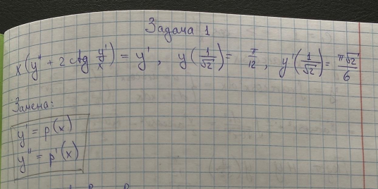
Задача 1:
Задача 2:
Задача 3:
Задача 4:
Задача 5:
Показать/скрыть дополнительное описание
Условие:

Задача 1:





Типовой расчет по интегралам МГТУ математический анализ 2 семестр домашнее задание.
Характеристики домашнего задания
Учебное заведение
Семестр
Номер задания
Вариант
Просмотров
66
Размер
3,78 Mb
Список файлов
Вариант 6 Диффуры 2 338.pdf

Спасибо за покупку! Я буду очень рад, если поставишь справедливую оценку купленному файлу :3 Ищи больше работ в моём профиле, там много нужного тебе!
Комментарии

Отзыв
Всё отлично!