Для студентов МГТУ им. Н.Э.Баумана по предмету Интегралы и дифференциальные уравнения (ИиДУ)Дифференциальные уравнения высших порядковДифференциальные уравнения высших порядков
5,0052
2023-03-082025-02-11СтудИзба
ДЗ 2: Дифференциальные уравнения высших порядков вариант 8
-43%
Описание
Типовой расчет №2 по математическому анализу, "Дифференциальные уравнения", зачтено
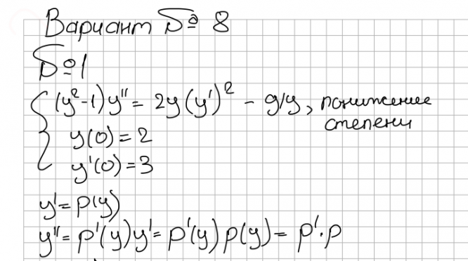
Задача 1:
Задача 2:
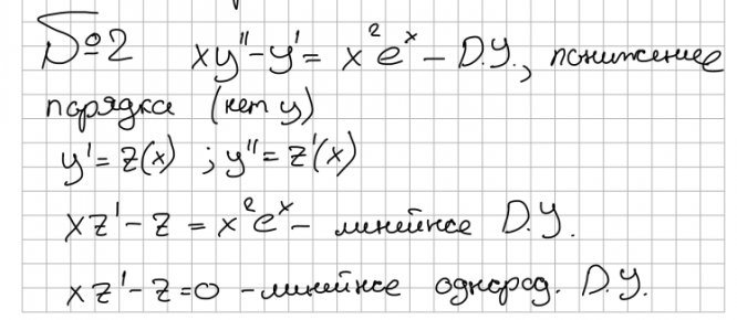
Задача 3:
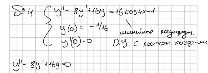
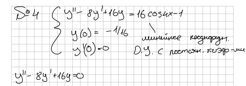
Задача 4:
Задача 5:
Показать/скрыть дополнительное описание
Задача 1:

Задача 2:

Задача 3:

Задача 4:

Задача 5:

Показать/скрыть дополнительное описание
Типовой расчёт по дифференциальным уравнениям МГТУ.
Характеристики домашнего задания
Учебное заведение
Семестр
Номер задания
Вариант
Просмотров
36
Качество
Идеальное компьютерное
Размер
4,95 Mb
Список файлов
Вариант 8 Диффуры 2 31.pdf

Спасибо за покупку! Я буду очень рад, если поставишь справедливую оценку купленному файлу :3 Ищи больше работ в моём профиле, там много нужного тебе!