Для студентов МГТУ им. Н.Э.Баумана по предмету Интегралы и дифференциальные уравнения (ИиДУ)Дифференциальные уравнения высших порядковДифференциальные уравнения высших порядков
4,995271
2022-05-212024-10-08СтудИзба
ДЗ 2: Дифференциальные уравнения высших порядков вариант 4
-32%
Описание
Полностью зачтенный типовой расчет по матанализу (ИиДУ), 5 задач. Отличное качество файла.
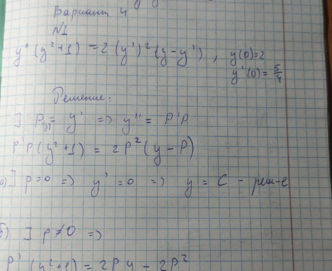
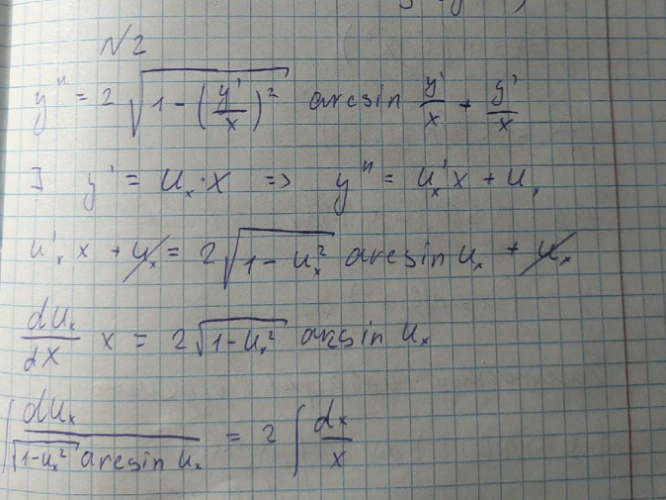
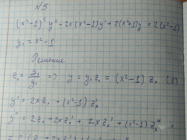
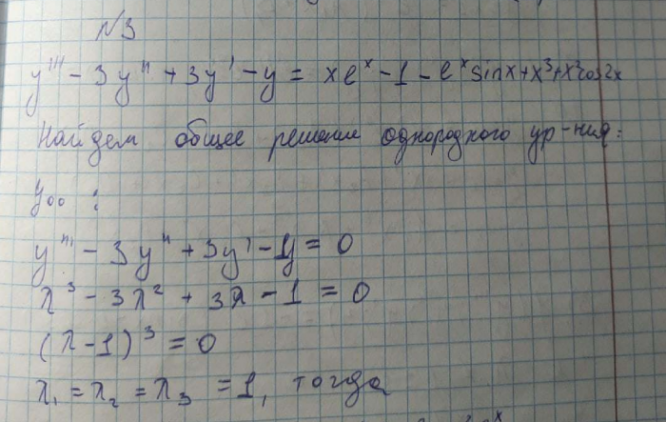
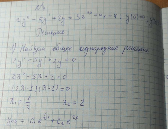
Условие:
Решение:
![]()
Условие:






Характеристики домашнего задания
Учебное заведение
Семестр
Номер задания
Вариант
Просмотров
29
Качество
Фото рукописных листов
Размер
3,09 Mb
Список файлов
1.pdf

Котики подняли настроение тебе, а поставив 5 звёзд на купленный файл, ты поднимешь его мне. Спасибо!