Для студентов МГТУ им. Н.Э.Баумана по предмету Интегралы и дифференциальные уравнения (ИиДУ)Дифференциальные уравненияДифференциальные уравнения
5,0051
2021-07-082021-07-08СтудИзба
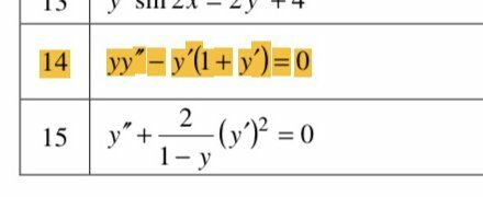
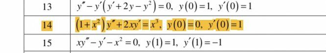
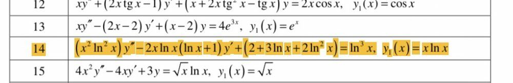
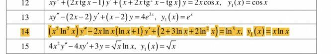
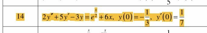
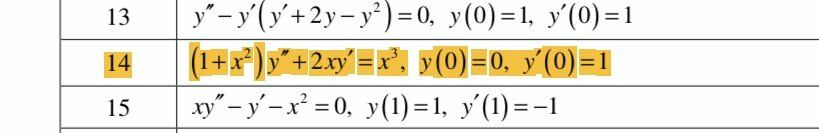
ДЗ 2: Дифференциальные уравнения вариант 14
Описание
Характеристики домашнего задания
Учебное заведение
Семестр
Номер задания
Вариант
Просмотров
23
Качество
Скан рукописных листов
Размер
1,05 Mb
Список файлов
Комментарии
Нет комментариев
Стань первым, кто что-нибудь напишет!

МГТУ им. Н.Э.Баумана



















