Для студентов МГТУ им. Н.Э.Баумана по предмету Интегралы и дифференциальные уравнения (ИиДУ)Дифференциальные уравнения высших порядковДифференциальные уравнения высших порядков
5,00528
2021-05-242024-09-03СтудИзба
ДЗ 2: Дифференциальные уравнения высших порядков вариант 11
-66%
Описание
Вариант 11 - ДЗ №2 - Дифференциальные уравнения- ИУ, РЛ, БМТ, ФН12
Зачтено на максимальный балл
Интегралы и дифференциальные уравнения (2-й семестр) ![]()
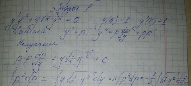
Задача 1 

Задача 3

Задача 4

Задача 5

Характеристики домашнего задания
Учебное заведение
Семестр
Номер задания
Вариант
Просмотров
414
Размер
6,7 Mb
Список файлов
Вариант 11 - ДЗ №2 - Дифференциальные уравнения- ИУ, РЛ, БМТ, ФН12.docx

Друзья, спасибо за доверие! Если вам понравилась работа – поставьте 5⭐ и напишите отзыв. Это поможет другим студентам, а мне даст силы делать ещё больше качественных материалов для вас 🔥