Для студентов МГТУ им. Н.Э.Баумана по предмету Интегралы и дифференциальные уравнения (ИиДУ)Дифференциальные уравненияДифференциальные уравнения
5,0055
2021-02-072021-02-07СтудИзба
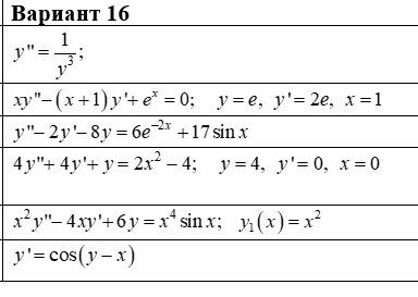
ДЗ 2: Дифференциальные уравнения вариант 16
Описание

Характеристики домашнего задания
Учебное заведение
Семестр
Номер задания
Вариант
Просмотров
113
Качество
Фото рукописных листов
Размер
1,56 Mb
МГТУ им. Н.Э.Баумана


















