Для студентов МГТУ им. Н.Э.Баумана по предмету Интегралы и дифференциальные уравнения (ИиДУ)Дифференциальные уравненияДифференциальные уравнения
4,86516
2020-03-272020-03-27СтудИзба
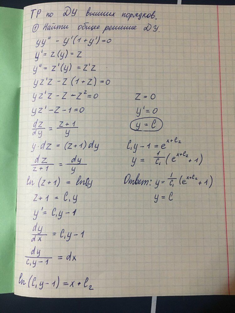
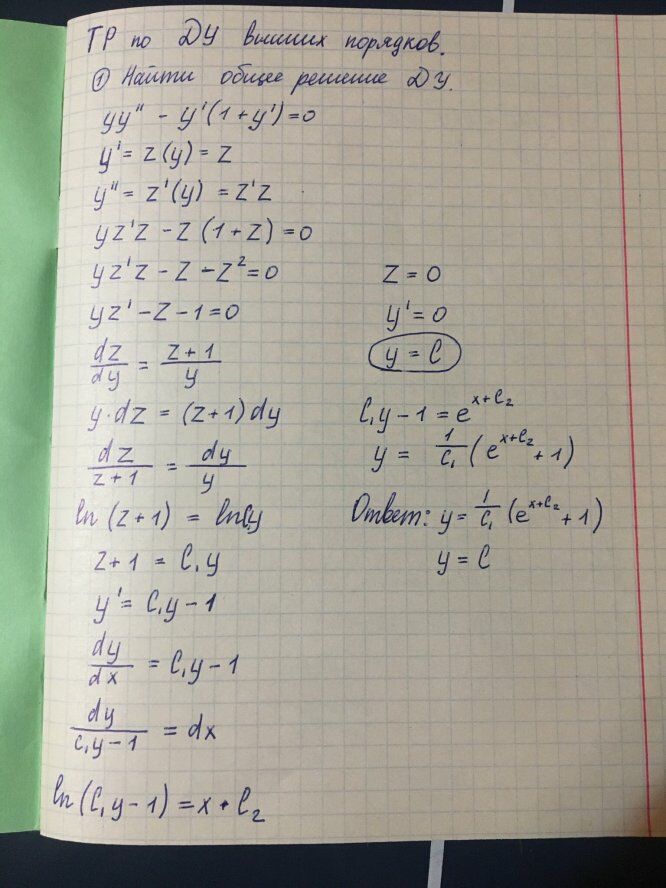
ДЗ 2: Дифференциальные уравнения вариант 14
Описание
Характеристики домашнего задания
Учебное заведение
Семестр
Номер задания
Вариант
Просмотров
192
Качество
Фото рукописных листов
Размер
6,57 Mb
Список файлов
._ДЗ №2 2020г..pdf
ДЗ №2 2020г..pdf
Отзывы
Отзыв
все верно
МГТУ им. Н.Э.Баумана
Мейнонг


















