Для студентов МГТУ им. Н.Э.Баумана по предмету Интегралы и дифференциальные уравнения (ИиДУ)Дифференциальные уравненияДифференциальные уравнения
5,0055
2015-05-112024-09-10СтудИзба
ДЗ 2: Дифференциальные уравнения вариант 11
-62%
Описание
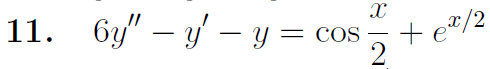
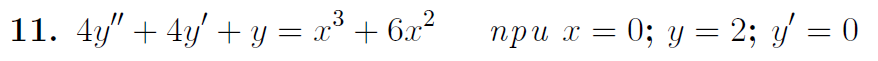
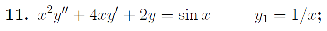
Для данных дифференциальных уравнений (задачи N 1-4) найти общее решение (общие интегралы) или частные решения (частные интегралы) для указанных начальных условий.Найти общее решение линейного неоднородного уравнения по данному частному решению y1 соответствующего линейного однородного уравнения.
Характеристики домашнего задания
Учебное заведение
Семестр
Номер задания
Вариант
Просмотров
1155
Качество
Фото рукописных листов
Размер
4,37 Mb
Список файлов
Дифференциальные уравнения.pdf

Вам все понравилось? Получите кэшбэк - 40 рублей на Ваш счёт при покупке. Поставьте оценку и напишите положительный комментарий к купленному файлу. После Вы получите деньги на ваш счет.