Для студентов МГТУ им. Н.Э.Баумана по предмету Интегралы и дифференциальные уравнения (ИиДУ)Техника интегрированияТехника интегрирования
4,0052
2023-02-262024-08-31СтудИзба
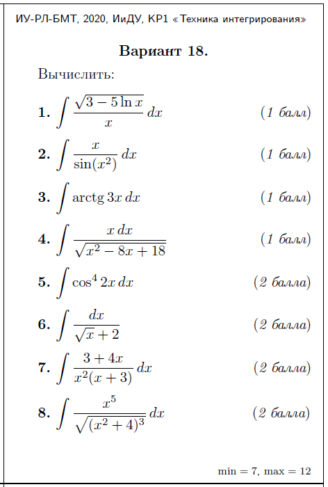
Ответы к контрольной работе 1: Техника интегрирования вариант 18
-60%
Описание

Характеристики ответов (шпаргалок) к КР
Учебное заведение
Семестр
Номер задания
Вариант
Просмотров
116
Качество
Фото рукописных листов
Размер
309,36 Kb
Список файлов
lWHbQK4Jkzc.jpg

Вам все понравилось? Получите кэшбэк - 40 рублей на Ваш счёт при покупке. Поставьте оценку и напишите положительный комментарий к купленному файлу. После Вы получите деньги на ваш счет.