Для студентов МГТУ им. Н.Э.Баумана по предмету ХимияКинетика гомогенных и гетерогенных химических реакцийКинетика гомогенных и гетерогенных химических реакций
5,0053
2020-08-192024-09-07СтудИзба
Лабораторная работа 8: Кинетика гомогенных и гетерогенных химических реакций
Описание
Полностью выполненная лабораторная работа с теоретической, практической и экспериментальной частями, так же есть защита (оценка 5б):
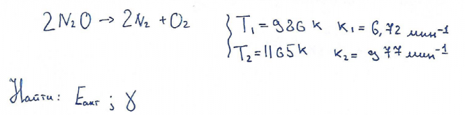
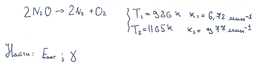
Защита № 33:
Защита № 33:
Характеристики лабораторной работы
Предмет
Учебное заведение
Номер задания
Просмотров
1673
Качество
Скан рукописных листов
Размер
2,15 Mb
Список файлов
Кинетика гомогенных и гетерогенных реакций.pdf
Вопросы
Вопрос
Хорошая лабораторная, спасибо!
МГТУ им. Н.Э.Баумана
catspinner



















