Задача: Расчёт силы сопротивления по профилю скорости в следе
Задача: Определение сопротивления тела вращения по профилю скорости в следе
Задача 7-7+8
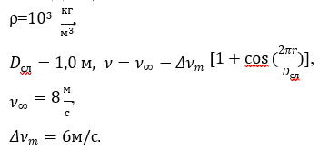
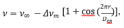
Определить сопротивление 𝐹тх тела вращения при осесимметричном обтекании водой по измерению скорости в сечении следа, где давление р0 постоянно и равно давлению в потоке перед телом. Полученный профиль скорости выражается приближенной формулой
где r- расстояние от оси до рассматриваемой точки, 𝐷сл- диаметр следа. Вычислить 𝐹тх при 𝐷сл=1,0 м.
Дано:
Найти: 𝐹тх=?Показать/скрыть дополнительное описание
Определить сопротивление 𝐹тх тела вращения при осесимметричном обтекании водой по измерению скорости в сечении следа, где давление р0 постоянно и равно давлению в потоке перед телом. Полученный профиль скорости выражается приближенной формулой
где r- расстояние от оси до рассматриваемой точки, 𝐷сл- диаметр следа. Вычислить 𝐹тх при 𝐷сл=1,0 м. Дано:
Найти: 𝐹тх=?Показать/скрыть дополнительное описание
Задача демонстрирует пошаговый интегральный расчёт силы сопротивления осесимметричного тела по аппроксимированному профилю скорости в следе. Включены разбиение контрольной поверхности, применение уравнения неразрывности, аналитическое интегрирование и числовой пример (D=1 м, v∞=8 м/с, Δv=6 м/с). Подходит для студентов профильных курсов..
Характеристики решённой задачи
Предмет
Учебное заведение
Семестр
Просмотров
1
Размер
100,48 Kb
Список файлов
Задача_7-78.docx
🎓 Никольский - Помощь студентам 📚 Любые виды работ: тесты, сессии под ключ, практики, курсовые и дипломные с гарантией результата ✅ Все услуги под ключ ✅ Знаем все тонкости именно вашего ВУЗа ✅ Сдадим или вернем деньги
Комментарии
Нет комментариев
Стань первым, кто что-нибудь напишет!
ПГУТИ
nikolskypomosh
















