Для студентов МТИ по предмету Гидрогазодинамика (ГГД)Гидрогазодинамика (Темы 1-6)Гидрогазодинамика (Темы 1-6)
5,0051
2025-07-242025-07-24СтудИзба
Гидрогазодинамика МТИ (Темы 1-6) Ответы на тест
Ответы к зачёту Итоговый тест: Гидрогазодинамика (Темы 1-6)
-28%
Описание
Представлены ответы на большинство вопросов по предмету "Гидрогазодинамика.ти".
Результат сдачи зависит от попавшихся вопросов.
Мой итоговый набранный балл 93 из 100 (Скриншот прилагаю).
ВНИМАНИЕ!Покупайте работу, только убедившись, что ваши вопросы совпадают с представленными ниже. Для этого рекомендую сначала запустить тест и сверить хотя бы несколько вопросов.
УЧЕБНЫЕ МАТЕРИАЛЫ
СПИСОК ВОПРОСОВ:
… волны возмущения называют характеристиками сверхзвукового потока
… газа в пограничном слое является основной причиной образования силы лобового сопротивления
… гласит: «Давление в жидкости или газе передаётся во всех направлениях одинаково и не зависит от ориентации площадки, на которую оно действует»
… называется отношение действительного прироста потенциальной энергии к максимально возможному при изоэнтропийном сжатии и заданной степени уширения в диффузоре
… называется тонкий слой заторможенного газа, образующийся на поверхности тел, обтекаемых потоком
… представил уравнение стационарного движения идеальной жидкости и изложил идеи кинетической теории газов
… управления пограничным слоем заключается в затягивании ламинарного участка слоя путем придания носовой части тела оптимальной формы
… - канал с таким профилем, при движении по которому газа или пара давление увеличивается, а скорость потока уменьшается
… - это движение частиц, ускоряющихся от зоны сжатия или тока
… - это основное кинематическое соотношение для прямого скачка уплотнения
… – течение, в котором поток газа или жидкости, обтекающий тело, отрывается от его поверхности с образованием вихревой зоны
… – это колебательный процесс, возникающий в упругом трубопроводе с малосжимаемой жидкостью при внезапном изменении её скорости или давления.
1-я теорема подобия Ньютона гласит: …
Абсолютное давление жидкости в точке представляет собой
Архимедова сила действует на тело …
Атмосферное давление при нормальных условиях равно …
Атмосферное ратм, вакуумметрическое рвак и абсолютное рабс давления связаны между собой выражением
Атмосферное ратм, избыточное ризб и абсолютное рабс давления связаны между собой выражением
В … скачке уплотнения сверхзвуковой поток (М > 1) всегда переходит в дозвуковой (М < 1)
В дозвуковом потоке газа, движущегося по расширяющейся трубе
В зависимости от угла β поток за косым скачком уплотнения может быть …
В задачах динамики жидкости неизвестными являются функции …
В области турбулентного режима истечения жидкости (Re>2300) коэффициент гидравлического трения λ зависит от …
В обычном состоянии жидкость характеризуется …
В основе механики жидкости и газа лежат такие предположения, как …
В сверхзвуковом потоке газа, движущегося по сужающейся трубе
В сверхзвуковом потоке пограничный слой имеет … зоны
В скачках уплотнения …
В скачках уплотнения происходит … потока
В скачке уплотнения сверхзвуковая скорость потока переводится в …
В скачке уплотнения скорости …
В стеклянной капиллярной трубке радиусом r = 1 мм находится ртуть при температуре 20 0С. Чему при этом равна высота опускания ртути в трубке?
В технике используется сопло Лаваля для …
В уравнении
, входящий в формулу член
представляет собой …
В уравнении
величина λ является …
В уравнении
правая часть представляет собой сумму …
Величина «а», входящая в уравнение
является …
Величина λ, входящая в уравнение
является …
Вес жидкости в единице объема называют …
Вес жидкости, взятой в объеме погруженной части судна, называется …
Всего воздействий существует …
Второе свойство гидростатического давления гласит …
Выделение воздуха из рабочей жидкости называется …
Выделяют несколько типов течения в трубах, всего их…
Газодинамическая функция q(λ) называется …
Гидравлика делится на такие разделы, как …
Гидравлические сопротивления делятся на …
Гидродинамическая модель представляет собой …
Гидродинамический след – это
Гидростатический закон распределения давления состоит в том, что
Гидростатическое давление - это давление присутствующее …
Гидростатическое давление жидкости зависит от …
Давление в системе измерения СИ измеряется в …
Давление можно измерять в следующих единицах (указать неверное утверждение)
Давление определяется …
Движение называют установившимся, если …
Движение, при котором скорость и давление изменяются не только от координат пространства, но и от времени, называется …
Движущей силой при течении жидкости является …
Действующие на жидкость внешние силы разделяют на …
Динамический коэффициент вязкости капельной жидкости (указать неверное утверждение)
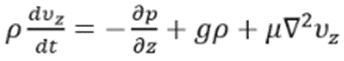
Дифференциальное уравнение движения связывает …
Для измерения абсолютного давления, превышающее атмосферное, требуются
Для описания турбулентного ПС используется (ются) уравнение(я)
Единицей измерения коэффициента объемного (теплового) расширения является
Единицей измерения коэффициента объемного сжатия является
Единицей измерения толщины потери импульса является
Если в наименьшем сечении сопла Ловаля не достигается скорость, равная скорости звука, то …
Если давление отсчитывают от абсолютного нуля, то его называют …
Если давление отсчитывают от относительного нуля, то его называют …
Если при движении жидкости в данной точке русла давление и скорость не изменяются, то такое движение называется …
Если скорость потока не равна нулю или бесконечности, то …
Если угол β при косом скачке уплотнения близок к π/2, то скорость потока за скачком уплотнения …
Жидкость, движущаяся внутри трубки тока, образует …
За фронтом скачка уплотнения скорость движения газа меньше скорости движения фронта волны на величину …
Значение критерия Рейнольдса, при котором ламинарный режим переходит в турбулентный, равно …
Значение толщины ПС на передней кромке плоской пластины равно
Идеальной жидкостью называется …
Избыточное давление жидкости может быть …
Изменение давления при торможении газа в прямом скачке уплотнения определяется …
Изменения параметров скачка уплотнения на рисунке описывают …
![]()
Инварианты подобия, выраженные через соотношения разнородных величин и представляющие собой безразмерные комплексы, называют…
Интегральное соотношение для пристенного ПС представляет собой
Интегральное соотношение для пристенного ПС справедливо для
Источником потерь энергии движущейся жидкости является …
К массовым силам можно отнести …
К пристеночной части турбулентного ПС относится (указать неверное утверждение)
Кавитация – это …
Касательное напряжение на плоской пластине при ее обтекании вязкой жидкостью можно измерять в (указать неверное утверждение)
Кинематический коэффициент вязкости можно измерять в следующих единицах
Конвективное ускорение жидкой частицы представляет собой
Косой скачок уплотнения – это …
Коэффициент гидравлического трения во второй области турбулентного режима зависит …
Коэффициент кинетической энергии (указать неверное утверждение)
Критическая скорость газа – это
Линия пьезометрического напора по направлению движения установившегося потока реальной несжимаемой жидкости в трубе переменного сечения
Линия тока – это
Линия тока жидкости характеризуется тем, что …
Локальное ускорение жидкой частицы представляет собой
Массовый расход газа через сопло определяется соотношением …
Массовыми силами называются …
Местные потери напора в потоке возникают …
На представленном ниже рисунке, имеется место пересечения линий уплотнения потока. Характерным для этого места является то, что …
![]()
На рисунке изображен …
![]()
Назначение сопел …
Наиболее перспективный путь решения задачи уменьшения полного лобового сопротивления – это …
Нарастание толщины турбулентного ПС δ по длине х плоской пластины происходит по закону
Неверно, что на этапе моделирования гидродинамических явлений и формулирования в математических терминах законов, описывающих поведение объекта, существует этап …
Неверно, что один из основных элементов эжектора …
Неверно, что одним из эффективных методов уменьшения толщины ламинарного пограничного слоя является …
Неверно, что отрыв пограничного слоя зависит от …
Неверно, что условия однозначности включают …
Недостатком теории подобия являются следующие факторы …
Нестационарным течением среды называется течение
Неустановившимся называют такое движение жидкости, при котором …
Объем тела давления – это
Объем тела, полностью находящегося в масле плотностью ρм =900 кг/м3, равен 50 м3. Чему равна выталкивающая сила, действующая на это тело?
Основной причиной потери напора в местных гидравлических сопротивлениях является …
Основой для вывода уравнений ламинарного ПС являются уравнения
Относительным покоем жидкости называется …
Отрыв потока жидкости происходит в результате …
Отрыв происходит в результате совместного действия двух основных факторов – торможения жидкости в пограничный слой и …
Первое свойство гидростатического давления гласит …
Поверхности скачков уплотнения могут быть …
Поверхностное натяжение – это
Повышение температуры газа у поверхности тела, обтекаемого при больших числах Маха, называется …
Пограничный слой (указать неверное утверждение)
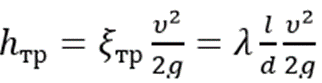
Полные гидравлические потери напора при движении жидкости в трубопроводе с участками, можно выразить как …
Представленное на рисунке изменение параметров характерно для …
При адиабатном процессе энтропия газа
При достаточно сильном повышении давления в газовом потоке возникают поверхности, называемые …
При истечении жидкости из отверстий основным вопросом является …
При косом скачке уплотнения значение нормальной составляющей скорости потока зависит от …
При ламинарном движении жидкости в круглой трубе числовое значение коэффициента кинетической энергии равно
При ламинарном течении гидравлический коэффициент трения для круглых труб зависит от
При неустановившемся движении кривая, в каждой точке которой вектора скорости в данный момент времени направлены по касательной, называется …
При обтекании плоской пластины нарастание турбулентного ПС
При переходе через скачок уплотнения часть кинетической энергии потока …
При турбулентном квадратичном режиме с увеличением числа Рейнольдса Re гидравлический коэффициент трения
При Re < 2300 режим движения жидкости является …
Пристенный ПС – это слой
Процесс кавитации наступает при
Процесс моделирования гидродинамических явлений включает в себя взаимосвязанные этапы, такие как…
Процесс, происходящий без теплообмена с окружающей средой, называется …
Различают … основных вида турбинных лопаток.
Расположите в правильной последовательности операции методики расчета обтекания тел и течений внутри каналов с учетом интегральных толщин пограничного слоя
1 Полученное распределение используется как первое приближение характеристик внешнего потока на границе пограничного слоя для расчета его интегральных характеристик
2 Вновь осуществляется расчет распределений для полученных фиктивных поверхностей обтекаемого тела (канала)
3 На основе модели идеального газа (жидкости) вычисляется распределение скорости рабочей среды и ее термодинамических параметров по длине тела (канала)
4 По распределениям второго приближения рассчитываются характеристики пограничного слоя. Обычно второго приближения в расчетах бывает достаточно
5 Значения толщины вытеснения позволяют изменить границу твердых стенок в каждом расчетном сечении в сторону движущейся среды по нормали к стенке, то есть вводится фиктивная поверхность
Расстояние R, на котором происходит уменьшение скорости, называется … пограничного слоя
Режим течения жидкости (газа) определяет критерий …
Решение уравнений ламинарного ПС может быть получено для случая обтекания
С ростом температуры кинематический коэффициент вязкости капельных жидкостей
С уменьшением температуры кинематический коэффициент вязкости капельных жидкостей
Свойство жидкости сопротивляться сдвигу ее слоев называется …
Свойство обратимости линий гидродинамической сетки означает, что
Сжимаемость жидкости характеризуется …
Символ ϕ в стандартной форме уравнения Навье-Стокса называется …
Символ μ в уравнении гидравлического расчета насадков для отверстия в тонкой стенке называется …
Синонимом вихревого движения жидкости является
Скорость потока жидкости на внутренней поверхности трубы равна …
Смешанный ПС представляет собой область
Согласно второму началу термодинамики
Согласно закону Архимеда
Согласно теории ПС течение внутри ПС (указать неверное утверждение)
Способы движения жидкости описывают …
Стационарным течением среды называется течение
Струйный ПС формируется при
Субстанциональная производная имеет вид …
Существует две разновидности построения суммарных гидравлических характеристик …
Существуют методы управления пограничным слоем, всего их …
Текучестью жидкости называется …
Течение жидкости со свободной поверхностью называется …
Течения, в которых υ>a и M>1, называются …
Течения, в которых υ
Толщина вытеснения представляет собой
Толщина пограничного слоя зависит от …
Толщина пограничного слоя измеряется в …
Толщина пограничного слоя постепенно увеличивается …
Толщина потери импульса
Турбулентный режим движения при определении коэффициента гидравлического трения делится на …
Турбулизации потока вязкой жидкости способствует (указать неверное утверждение)
Ударная адиабата представляет собой
Удельная энергия измеряется в …
Укажите неверное свойство гидродинамической сетки
Уравнение
справедливо …
Уравнение движения жидкости или … — одно из основных уравнений гидродинамики идеальной жидкости.
Уравнение Кармана в общем случае записывается следующим образом …
Уравнение Клайперона-Менделеева выражает
Уравнение моментов количества движения используется для …
Уравнение моментов количества движения связывает …
Уравнение Навье-Стокса описывает …
Уравнение неразрывности для газа имеет вид …
Уравнение обращения воздействия, представляющее собой математическую запись закона обращения воздействия, было получено …
Уравнение энергии в интегральной форме имеет вид …
Уравнение энергии для газа, записанное в дифференциальной форме, имеет вид …
Уравнение, позволяющее найти гидростатическое давление в любой точке рассматриваемого объема, называется …
Установите соответствие между буквенными обозначениями и обозначаемыми величинами:
A. Ho
B. Re
C. Eu
D. Gr
E. Критерий гомохронности
F. Критерий Фруда
G. Критерий Эйлера
H. Критерий Грасгофа
Установите соответствие между буквенными обозначениями и обозначаемыми величинами
A. β
B. γ
C. ν
D. k
E. Коэффициент сжимаемости
F. Удельный вес
G. Удельный объем
H. Показатель адиабаты
Установите соответствие между вариантами поведения тела в несжимаемой жидкости и действием тела:
A. γТ > γж
B. γТ = γж
C. γТ < γж
D. Тело тонет
E. Тело будет плавать внутри жидкости
F. Тело всплывает
Установите соответствие между величиной и её определением:
A. Давление насыщенного пара
B. Физическая атмосфера
C. Давление
D. Техническая атмосфера
E. Давление, при котором происходит кипение жидкости
F. Давление, соответствующее давлению столба ртути высотой 760 мм на его горизонтальное основание при плотности ртути 13595,04 кг/м^3, температуре 0°C и при нормальном ускорении свободного падения 9,80665 м/с^2
G. Сила, отнесенная к единице площади, измеряется в паскалях, Па
H. Давление, производимое силой в 1 кгс, равномерно распределенной по перпендикулярной к ней плоской поверхности площадью 1 〖см〗^2
Установите соответствие между величиной и ее формулой:
A. Вязкость
B. Число кавитаций
C. Касательное усилие между слоями жидкости
D. Скорость звука
E. Удельная энтальпия
F. τₓᵧ = μ (dυ/dy)
G. c = √(k (P/ρ))
H. σ = 2(P∞ − Pн) / ρυ²∞
I. f = −μF (dυ/dn)
J. i = U + (p/ρ)
Установите соответствие между дифференциальным уравнением жидкости и его определением:
A. Уравнение Бернулли
B. Дифференциальное уравнение Навье-Стокса
C. Дифференциальное уравнение неразрывности потока
D. Дифференциальное уравнение движения Эйлера
E. Согласно уравнению, для всех поперечных сечений установившегося потока идеальной жидкости величина гидродинамического напора остается неизменной, выражает фундаментальный закон сохранения массы
F. Учитывает влияние на скорость потока жидкости силы трения
G. Представляет собой зависимость между скоростями в потоке жидкости, для которого соблюдается условие сплошности, или неразрывности, течения
H. Описывает движение установившегося и неустановившегося потока идеальной жидкости, движущейся без трения
Установите соответствие между изображением сопла и его видом:
A.
B.
C.
D. Тепловое сопло
E. Механическое сопло
F. Полутепловое сопло
Установите соответствие между интегральными уравнениями для динамического пограничного слоя и названием интегральной характеристики
A.
B.
C.
D. Толщина потери импульса
E. Толщина потери энергии
F. Толщина вытеснения
Установите соответствие между подобием и его определением:
A. Временное подобие
B. Подобие начальных и граничных условий
C. Геометрическое подобие
D. Подобие физических величин
E. Оно предполагает, что сходственные точки или части геометрически подобных систем (модели и натуры), двигаясь по геометрически подобным траекториям, проходят геометрически подобные пути в промежутки времени, отношение которых является постоянной величиной
F. Оно предполагает, что начальное состояние и состояние на границах систем подобны
G. Оно предполагает, что сходные размеры натуры и модели параллельны, а их отношение выражается постоянной и равной величиной
H. Оно предполагает, что в рассматриваемых подобных системах (натуре и модели) отношение значений физических величин двух любых сходственных точек или частиц, подобно размещенных в пространстве и времени, есть величина постоянная
Установите соответствие между процессом и его особенностью:
A. Кипение
B. Испарение
C. Происходит при температуре кипения
D. Парообразование происходит с поверхности жидкости
E. Температура не меняется
F. Парообразование происходит по всему объёму жидкости
G. Происходит при любой температуре
H. Температура понижается
Установите соответствие между уравнением и его названием:
A. p = p₀ + ρgh
B. p = const
C. p = ρRT
D. z₁ + p₁/ρg + υ₁²/2g = z₂ + p₂/ρg + υ₂²/2g
E. Уравнение статики жидкостей и газов
F. Уравнение несжимаемой жидкости
G. Уравнение для совершенного газа
H. Уравнение для идеальной жидкости
Установите соответствие между уравнением и названием
A. λᴛ = 0,11 × (Δэ/d)^0.25
B. λᴛ = 0,11 × (68/Re)^0.25 = 0,3164/∜Re
C. 3 λᴛ = 0,11 × (68/Re + Δэ/d)^0.25
D. Формула Шифринсона
E. Формула Блазиуса
F. Формула Альтшуля
Установите соответствие между уравнением и определяемой величиной:
A. φ = 1 / √(α + ξсум))
B. μ = εφ
C. ξсум = ξ + λ ⋅ l / d
D. μ₀ = 2/3 ⋅ μ
E. Коэффициент скорости
F. Коэффициент расхода
G. Суммарный коэффициент сопротивления
H. Коэффициент расхода большого отверстия
Установите соответствие между уравнениями в дифференциальном виде и их названиями:
A.
B.
C.
D.
E. Уравнение неразрывности
F. Уравнение энергии в тепловой форме
G. Уравнение энергии в механической форме (уравнения Бернулли)
H. Уравнение состояния
Установите соответствие между эпюрой давления жидкости на поверхности и её названием
A.
B.
C.
D.
E. Эпюра двухстороннего давления (с двух сторон жидкость разной плотности)
F. Эпюра давления на наклонную стенку (есть избыточное давление)
G. Эпюра давления на наклонную стенку
H. Эпюра двухстороннего давления (с двух сторон жидкость одинаковой плотности)
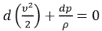
Формула расхода имеет вид …
Формула υ1υ2=(k-1)/(k+1) υ_max^2 позволяет определить …
Формула
позволяет рассчитать …
Циркуляция скорости (указать неверное утверждение)
Чему равен радиус капиллярной трубки, в которой находится спирт при температуре 20 0С , если высота его опускания hкап = 3 мм
Число Маха (указать неверное утверждение)
Числовое значение коэффициента кинетической энергии при турбулентном движении жидкости в круглой трубе равно
Член уравнения, обозначаемый буквой z, называется …
Чтобы предотвратить, отрыв слоя и образование возвратного течения, Прандтлем было предложено несколько способов, а именно …
Эквивалентная шероховатость поверхности трубы – это
Эквипотенциальная поверхность – это поверхность, на которой
Элементарная струйка жидкости – это …
Явление поглощения веществ или газов на поверхности твердого тела или жидкости называется …
Результат сдачи зависит от попавшихся вопросов.
Мой итоговый набранный балл 93 из 100 (Скриншот прилагаю).
ВНИМАНИЕ!Покупайте работу, только убедившись, что ваши вопросы совпадают с представленными ниже. Для этого рекомендую сначала запустить тест и сверить хотя бы несколько вопросов.
УЧЕБНЫЕ МАТЕРИАЛЫ
- Тема 1. Основы гидростатики и кинематики
- Тема 2. Динамика вязкой и невязкой жидкости
- Тема 3. Гидравлические сопротивления
- Тема 4. Законы движения газа
- Тема 5. Волны давления в газовом потоке
- Тема 6. Теория пограничного слоя
СПИСОК ВОПРОСОВ:
… волны возмущения называют характеристиками сверхзвукового потока
- Сильные
- Высокие
- Слабые
- Скоростные
… газа в пограничном слое является основной причиной образования силы лобового сопротивления
- Плотность
- Температура
- Вязкость
- Скорость
… гласит: «Давление в жидкости или газе передаётся во всех направлениях одинаково и не зависит от ориентации площадки, на которую оно действует»
- Закон Ньютона
- Закон Паскаля
- Закон Никурадзе
- Закон Жуковского
… называется отношение действительного прироста потенциальной энергии к максимально возможному при изоэнтропийном сжатии и заданной степени уширения в диффузоре
- Газодинамической функцией
- Коэффициентом расхода диффузора
- Уменьшением давления в среде
- Коэффициентом полезного действия диффузора
… называется тонкий слой заторможенного газа, образующийся на поверхности тел, обтекаемых потоком
- Пограничным слоем
- Турбулентным слоем
- Нейтральным слоем
- Возбужденным слоем
… представил уравнение стационарного движения идеальной жидкости и изложил идеи кинетической теории газов
- И. Ньютон
- Л. Эйлер
- М.В. Ломоносов
- Д. Бернулли
… управления пограничным слоем заключается в затягивании ламинарного участка слоя путем придания носовой части тела оптимальной формы
- Первый метод
- Второй метод
- Третий метод
- Пятый метод
… - канал с таким профилем, при движении по которому газа или пара давление увеличивается, а скорость потока уменьшается
- Конфузор
- Диффузор
- Сопло
- Эжекторы
… - это движение частиц, ускоряющихся от зоны сжатия или тока
- Волна расщепления
- Волна разрежения
- Поток разрежения
- Сверхзвуковой поток
… - это основное кинематическое соотношение для прямого скачка уплотнения
- Формула Келдыша
- Формула Чаплыгина
- Формула Прандтля
- Формула Жуковского
… – течение, в котором поток газа или жидкости, обтекающий тело, отрывается от его поверхности с образованием вихревой зоны
- Возбужденное течение
- Турбулентное течение
- Отрывное течение
- Сверхзвуковое течение
… – это колебательный процесс, возникающий в упругом трубопроводе с малосжимаемой жидкостью при внезапном изменении её скорости или давления.
- Турбулентное течение
- Гидроудар
- Кавитация
- Напор в колене
1-я теорема подобия Ньютона гласит: …
- любое дифференциальное уравнение, связывающее между собой переменные, характеризующие какой-либо процесс, может быть представлено в виде зависимости между критериями подобия
- подобные между собой явления имеют равные критерия подобия
- подобные отношения будут равны единице, у подобных явлений индикаторы равны единице
- подобны те явления, условия однозначности которых подобны, а определяющие критерии, составленные из условий однозначности, численно равны
Абсолютное давление жидкости в точке представляет собой
- полное напряжение сжатия от действия всех массовых и поверхностных сил, приложенных к жидкости в данной точке
- превышение давления над атмосферным
- полное напряжение растяжения от действия всех массовых и поверхностных сил, приложенных к жидкости в данной точке
- недостаток давления до атмосферного
Архимедова сила действует на тело …
- только в воде
- только в газах
- в любой жидкости
- в газах и жидкости
Атмосферное давление при нормальных условиях равно …
- 100 МПа
- 100 кПа
- 10 ГПа
- 1000 Па
Атмосферное ратм, вакуумметрическое рвак и абсолютное рабс давления связаны между собой выражением
- рвак = ратм – рабс
- ратм = рвак – рабс
- рабс = рвак + ратм
- все ответы неверны
Атмосферное ратм, избыточное ризб и абсолютное рабс давления связаны между собой выражением
- ратм = ризб – рабс
- ризб = ратм – рабс
- рабс = ризб + ратм
- ризб = ратм + рабс
В … скачке уплотнения сверхзвуковой поток (М > 1) всегда переходит в дозвуковой (М < 1)
- отсоединенном скачке
- сверхзвуковом скачоке
- прямом скачке
- косом скачке
В дозвуковом потоке газа, движущегося по расширяющейся трубе
- плотность и давление возрастают
- плотность и давление убывают
- плотность возрастает, а давление убывает
- плотность убывает, а давление возрастает
В зависимости от угла β поток за косым скачком уплотнения может быть …
- сверхзвуковым
- угасающим
- как сверхзвуковым, так и дозвуковым
- дозвуковым
В задачах динамики жидкости неизвестными являются функции …
- давления
- напора
- плотности
- массы
- проекции скорости
В области турбулентного режима истечения жидкости (Re>2300) коэффициент гидравлического трения λ зависит от …
- числа Re и не зависит от шероховатости стенок трубы
- числа Re и эквивалентной шероховатости поверхности трубы
- эквивалентной шероховатости стенок трубы и касательных напряжений в потоке
- вязкости жидкости и геометрии трубопровода
В обычном состоянии жидкость характеризуется …
- малым сопротивлением разрыву и большим сопротивлением сжатию
- высоким сопротивлением разрыву и низким сопротивлением сжатию
- низким сопротивлением разрыву и низким сопротивлением сжатию
- высоким сопротивлением разрыву и высоким сопротивлением сжатию
В основе механики жидкости и газа лежат такие предположения, как …
- справедливость классической механики Ньютона
- справедливость математической модели среды
- справедливость классической термодинамики
- справедливость теплового равновесия
В сверхзвуковом потоке газа, движущегося по сужающейся трубе
- давление убывает, а плотность возрастает
- давление возрастает, а плотность убывает
- плотность и давление возрастают
- плотность и давление убывают
В сверхзвуковом потоке пограничный слой имеет … зоны
- дозвуковую и сверхзвуковую
- нейтральную и возмущенную
- скоростную и сверхскоростную
- отдаленную и примыкающую
В скачках уплотнения …
- давление, энтальпия, плотность увеличиваются, а температура понижается
- энтальпия увеличивается, а давление, плотность и температура уменьшаются
- давление, плотность, энтальпия и температура возрастают
- давление, плотность, энтальпия и температура уменьшаются
В скачках уплотнения происходит … потока
- торможение
- ускорение
- разряжение
- движение
В скачке уплотнения сверхзвуковая скорость потока переводится в …
- дозвуковую
- равномерно-переменную
- поступательную
- мгновенную
В скачке уплотнения скорости …
- υ₂ = υ₁ = 1
- υ₂ = υ₁ = 0
- υ₂ = υ₁ = α
- υ₂ ≠ υ₁
В стеклянной капиллярной трубке радиусом r = 1 мм находится ртуть при температуре 20 0С. Чему при этом равна высота опускания ртути в трубке?
- 10,15 мм
- 5,08 мм
- 2,03 мм
- 20,3 мм
В технике используется сопло Лаваля для …
- получения сверхзвуковых скоростей
- постепенного уменьшения скорости потока
- изменения параметров жидкости
- увеличения скорости за счет подвода теплоты
В уравнении


- силу трения
- силу инерции
- касательное напряжение
- удельную вязкость
В уравнении

- теплопроводностью жидкости
- коэффициентом гидравлического трения
- гидростатическим напором
- главным вектором касательных напряжений
В уравнении

- главного вектора ускорения и инерционных сил
- главного вектора касательных напряжений и сил тяжести потока жидкости
- главного вектора массовых сил и главного вектора поверхностных сил
- касательных и нормальных напряжений, приложенных к потоку жидкости
Величина «а», входящая в уравнение

- давлением газа
- плотностью газа
- газовой постоянной
- скоростью звука
Величина λ, входящая в уравнение

- скоростью звука
- коэффициентом скорости
- газовой постоянной
- давлением газа
Вес жидкости в единице объема называют …
- плотностью
- удельным весом
- удельной плотностью
- весом
Вес жидкости, взятой в объеме погруженной части судна, называется …
- погруженным объемом
- водоизмещением
- вытесненным объемом
- водопоглощением
Всего воздействий существует …
- 3
- 5
- 3
- 4
Второе свойство гидростатического давления гласит …
- гидростатическое давление постоянно и всегда перпендикулярно к стенкам резервуара
- гидростатическое давление изменяется при изменении местоположения точки
- гидростатическое давление неизменно в горизонтальной плоскости
- гидростатическое давление неизменно во всех направлениях
Выделение воздуха из рабочей жидкости называется …
- парообразованием
- газообразованием
- пенообразованием
- газовыделением
Выделяют несколько типов течения в трубах, всего их…
- 3
- 5
- 4
Газодинамическая функция q(λ) называется …
- динамическим коэффициентом вязкости
- приведенной плотностью тока
- критическим давлением
- аэродинамическим нагревом
Гидравлика делится на такие разделы, как …
- гидростатика и гидромеханика
- гидромеханика и гидродинамика
- гидростатика и гидродинамика
- гидрология и гидромеханика
Гидравлические сопротивления делятся на …
- линейные и квадратичные
- местные и нелинейные
- нелинейные и линейные
- местные и линейные
Гидродинамическая модель представляет собой …
- систему, исследование которой служит средством для получения информации о другой системе
- приближенное описание поведения изучаемого объекта с помощью математических символов
- систему некоторого реального процесса, устройства или концепции
- приближение объектов реального или вымышленного мира и их свойств
Гидродинамический след – это
- область, которую образуют заторможенные частицы ПС за обтекаемым телом
- проекция тела, плавающего в жидкости, на пьезометрическую плоскость
- граница раздела между поверхностью тела и жидкостью, в которой оно плавает
- граница раздела жидкой и газообразной сред
Гидростатический закон распределения давления состоит в том, что
- в несжимаемой жидкости давление меняется вдоль вертикальной координаты по параболическому закону
- в однородной жидкости на одном горизонтальном уровне давление одинаково
- при переходе системы из одного равновесного состояния в другое объем жидкости в ней не изменяется
- в несжимаемой жидкости, находящейся под действием силы тяжести, давление линейно зависит от вертикальной координаты
Гидростатическое давление - это давление присутствующее …
- в движущейся жидкости
- в покоящейся жидкости
- в жидкости, находящейся под избыточным давлением
- в жидкости, помещенной в резервуар
Гидростатическое давление жидкости зависит от …
- формы сосуда, ускорения свободного падения и глубины
- формы сосуда, плотности, глубины и ускорения свободного падения
- плотности, ускорения свободного падения и глубины
- плотности, ускорения свободного падения, глубины и атмосферного давления
Давление в системе измерения СИ измеряется в …
- паскалях
- джоулях
- барах
- стоксах
Давление можно измерять в следующих единицах (указать неверное утверждение)
- Н/м2
- кгс/см2
- мм. рт. ст.
- кг/см2
Давление определяется …
- отношением силы, действующей на жидкость к площади воздействия
- произведением силы, действующей на жидкость на площадь воздействия
- отношением площади воздействия к значению силы, действующей на жидкость
- отношением разности действующих усилий к площади воздействия
Движение называют установившимся, если …
- скорость потока и давление в любой его точке изменяется с течением времени
- скорость потока и давление в любой точке не изменяется с течением времени
- скорость потока изменяется с течением времени по сечению потока, а давление остается постоянным
- давление в потоке изменяется с течением времени, а скорость остается постоянной
Движение, при котором скорость и давление изменяются не только от координат пространства, но и от времени, называется …
- ламинарным
- стационарным
- неустановившимся
- турбулентным
Движущей силой при течении жидкости является …
- разность давлений
- разность массовых сил
- разность скоростей
- величина гидростатического давления
Действующие на жидкость внешние силы разделяют на …
- силы инерции и поверхностного натяжения
- внутренние и поверхностные
- массовые и поверхностные
- силы тяжести и давления
Динамический коэффициент вязкости капельной жидкости (указать неверное утверждение)
- уменьшается с ростом температуры
- равен произведению плотности на кинематическую вязкость
- имеет размерность кг/(м∙с)
- равен отношению силы вязкости к силам инерции
Дифференциальное уравнение движения связывает …
- ускорение с напряжением массовых и поверхностных сил в данной точке потока
- импульс силы с напряжениями поверхностных сил в данной точке потока
- поверхностное натяжение, ускорение движения жидкости и силы инерции жидкости во всем потоке жидкости
- касательные напряжения сдвига жидкости с силами инерции потока жидкости
Для измерения абсолютного давления, превышающее атмосферное, требуются
- только манометр
- манометр и барометр
- только барометр
- барометр и вакуумметр
Для описания турбулентного ПС используется (ются) уравнение(я)
- импульсов Кармана
- Навье-Стокса
- Рейнольдса
- Эйлера
Единицей измерения коэффициента объемного (теплового) расширения является
- 0К
- 1/0К
- 1/Па
- Па
Единицей измерения коэффициента объемного сжатия является
- Па-1
- Н/м2
- м/с2
- кг/м3
Единицей измерения толщины потери импульса является
- м
- м/с
- 1/м
- м3/с
Если в наименьшем сечении сопла Ловаля не достигается скорость, равная скорости звука, то …
- в расширяющейся части сопла происходит уменьшение скорости истечения
- в расширяющейся части сопла происходит сверхзвуковое истечение
- истечение газа через сопло становится невозможным
- скорость газа в расширяющейся части сопла равна скорости звука
Если давление отсчитывают от абсолютного нуля, то его называют …
- давление вакуума
- атмосферным
- избыточным
- абсолютным
Если давление отсчитывают от относительного нуля, то его называют …
- давлением вакуума
- избыточным
- абсолютным
- стационарным
Если при движении жидкости в данной точке русла давление и скорость не изменяются, то такое движение называется …
- установившимся
- неустановившимся
- турбулентным установившимся
- ламинарным неустановившимся
Если скорость потока не равна нулю или бесконечности, то …
- линии тока пересекаются в одной точке
- линии тока не пересекаются ни в одной точке
- линии ока пересекаются в разных точках
- линии тока параллельны
Если угол β при косом скачке уплотнения близок к π/2, то скорость потока за скачком уплотнения …
- сверхзвуковая
- дозвуковая
- равна нулю
- не зависит от величины угла β
Жидкость, движущаяся внутри трубки тока, образует …
- линию тока
- трубку тока
- элементарную струйку
- поток жидкости
За фронтом скачка уплотнения скорость движения газа меньше скорости движения фронта волны на величину …
- меньшую скорости звука в данной среде
- равную скорости звука в данной среде
- большую скорость звука в данной среде
- скорости ламинарного течения газа вблизи стенок трубы
Значение критерия Рейнольдса, при котором ламинарный режим переходит в турбулентный, равно …
- 2300
- 3200
- 4000
- 4600
Значение толщины ПС на передней кромке плоской пластины равно
- 1
- 2
- 0,5
- 0
Идеальной жидкостью называется …
- жидкость, в которой отсутствует внутреннее трение
- жидкость, подходящая для применения
- жидкость, способная сжиматься
- жидкость, существующая только в определенных условиях
Избыточное давление жидкости может быть …
- положительным
- отрицательным
- положительным и отрицательным
- равным атмосферному давлению
Изменение давления при торможении газа в прямом скачке уплотнения определяется …
- значением приведенной скорости потока перед скачком уплотнения
- значениями касательных напряжений трения в потоке перед скачком уплотнения
- перепадом скоростей до и после скачка уплотнения
- разностью плотностей среды до и после скачка уплотнения
Изменения параметров скачка уплотнения на рисунке описывают …

- косой скачок
- прямой скачок
- отсутствие скачков уплотнения
- наклонный скачок
Инварианты подобия, выраженные через соотношения разнородных величин и представляющие собой безразмерные комплексы, называют…
- совокупностью физических величин
- критериями подобия
- промежутками времени в модели и натуре
- показателями адиабаты
Интегральное соотношение для пристенного ПС представляет собой
- закон Ньютона о вязком трении
- основной закон гидростатики
- закон всемирного тяготения
- уравнение количества движения
Интегральное соотношение для пристенного ПС справедливо для
- ламинарного ПС
- турбулентного ПС
- ламинарного и турбулентного ПС
- области перехода ламинарного в турбулентный ПС
Источником потерь энергии движущейся жидкости является …
- плотность
- вязкость
- расход жидкости
- изменение направления движения
К массовым силам можно отнести …
- силу тяжести
- силу инерции
- центробежную силу
- силу межмолекулярного взаимодействия
К пристеночной части турбулентного ПС относится (указать неверное утверждение)
- вязкий подслой
- область логарифмического профиля скорости
- надслой
- внешняя область
Кавитация – это …
- воздействие давления жидкости на стенки трубопровода
- движение жидкости в открытых руслах, связанное с интенсивным перемешиванием
- местное изменение гидравлического сопротивления
- изменение агрегатного состояния жидкости при движении в закрытых руслах, связанное с местным падением давления
Касательное напряжение на плоской пластине при ее обтекании вязкой жидкостью можно измерять в (указать неверное утверждение)
- л/с
- Па
- Н/м2
- Н/см2
Кинематический коэффициент вязкости можно измерять в следующих единицах
- см2/с
- Н/с
- Па
- Н/м2
Конвективное ускорение жидкой частицы представляет собой
- изменение во времени вектора скорости частицы в фиксированной точке пространства
- изменение скорости частицы в пространстве в данный момент времени
- отношение расхода жидкости к площади поперечного сечения трубы
- произведение расхода жидкости на площадь поперечного сечения трубы
Косой скачок уплотнения – это …
- такой скачок, поверхность которого перпендикулярна направлению набегающего потока
- скачок нормальной составляющей скорости
- скачок уплотнения, образующийся на некотором расстоянии от носовой части обтекаемого тела, и имеет криволинейную форму
- область или фронт, где происходит скачкообразное, резкое уменьшение скорости и увеличение давления, плотности, температуры газа
Коэффициент гидравлического трения во второй области турбулентного режима зависит …
- только от числа Re
- от числа Re и шероховатости стенок трубопровода
- только от шероховатости стенок трубопровода
- от числа Re, от длины и шероховатости стенок трубопровода
Коэффициент кинетической энергии (указать неверное утверждение)
- характеризует потери кинетической энергии в потоке
- всегда больше единицы
- показывает отношение действительной кинетической энергии к энергии, вычисленной по средней скорости
- для ламинарного течения в круглой трубе равен двум
Критическая скорость газа – это
- максимально возможная скорость газа
- минимально возможная скорость газа
- скорость газа, равная 1000 м/с
- скорость газа, равная местной скорости звука
Линия пьезометрического напора по направлению движения установившегося потока реальной несжимаемой жидкости в трубе переменного сечения
- опускается
- повышается
- обязательно параллельна оси потока
- на одних участках канала может опускаться, на других – подниматься
Линия тока – это
- линия, по которой протекает электрический ток в проводнике
- кривая, в каждой точке которой вектор скорости в данный момент времени направлен по касательной
- геометрическое место точек последовательных положений жидкой частицы в пространстве в следующие друг за другом моменты времени
- линия действия силы давления жидкости на стенку
Линия тока жидкости характеризуется тем, что …
- в данный момент времени во всех ее точках векторы скоростей параллельны
- в данный момент времени отсутствуют векторы скоростей
- в данный момент времени во всех ее точках векторы скоростей будут являться касательными к ней
- векторы скоростей в течении всего времени перпендикулярны линии тока
Локальное ускорение жидкой частицы представляет собой
- отношение расхода жидкости к площади поперечного сечения трубы
- произведение расхода жидкости на площадь сечения трубы
- изменение во времени вектора скорости жидкой частицы в фиксированной точке пространства
- изменение скорости жидкой частицы в пространстве в данный момент времени
Массовый расход газа через сопло определяется соотношением …
- cₚ = kR / (k − 1)
- M = υ/a
- G = μρυS
- n = F₂/F₁
Массовыми силами называются …
- сила тяжести и сила инерции
- сила молекулярная и сила тяжести
- сила инерции и сила гравитационная
- сила давления и сила поверхностная
Местные потери напора в потоке возникают …
- по длине трубопровода
- на выходе и входе трубопровода
- из-за шероховатости внутренней поверхности трубы
- в отдельных коротких участках потока и связаны с его деформацией
На представленном ниже рисунке, имеется место пересечения линий уплотнения потока. Характерным для этого места является то, что …

- параметры газа и скорость не изменяются
- параметры газа и его скорость меняются, но скачка уплотнения не образуется
- параметры газа и его скорость меняются, и образуется скачок уплотнения
- механическая энергия газа увеличивается
На рисунке изображен …

- эжектор
- диффузор
- конфузор
- камера сгорания
Назначение сопел …
- нагревание газа с минимальными тепловыми потерями
- подвод газов к смесительной камере с минимальными потерями
- понижение температуры сечения
- уменьшение противодавления и скорости истечения на срезе
Наиболее перспективный путь решения задачи уменьшения полного лобового сопротивления – это …
- уменьшение градиента давления за счет применения ламинаризованных профилей
- подогрев обтекаемой стенки
- удаление с поверхности тела наиболее заторможенных слоев
- уменьшение сопротивления давления
Нарастание толщины турбулентного ПС δ по длине х плоской пластины происходит по закону
- δ ~х
- δ ~х6/7
- δ ~х2
- δ ~х1/2
Неверно, что на этапе моделирования гидродинамических явлений и формулирования в математических терминах законов, описывающих поведение объекта, существует этап …
- определения совокупности начальных и граничных условий
- разработки численных методов и алгоритмов для решения поставленной задачи
- создания математической модели фильтрации
- исследования модели выходных данных для дальнейшего сопоставления с результатами наблюдений за объектом моделирования
Неверно, что один из основных элементов эжектора …
- газовая камера
- сопло высоконапорного (эжектирующего) газа
- сопло смесительной камеры
- сопло низконапорного (эжектируемого) газа
- диффузор
- смесительная камера
Неверно, что одним из эффективных методов уменьшения толщины ламинарного пограничного слоя является …
- охлаждение обтекаемой стенки
- подогрев обтекаемой стенки
- удаление с поверхности тела наиболее заторможенных слоев
- уменьшение градиента давления за счет применения ламинаризованных профилей
Неверно, что отрыв пограничного слоя зависит от …
- формы и состояния поверхности тела
- режима течения газа
- значения положительного градиента давления
- плотности потока
Неверно, что условия однозначности включают …
- геометрическую форму и размеры системы, в которой протекает процесс
- физические (физико-химические) параметры веществ, находящихся в системе
- подобие начальных и граничных условий
- начальные условия протекания процесса (например, начальную скорость и температуру)
- состояние системы на ее границах (например, равенство нулю скорости жидкости на неподвижных стенках)
Недостатком теории подобия являются следующие факторы …
- теория предполагает, что сходные размеры натуры и модели параллельны, а их отношение выражается постоянной и равной величиной
- теория не может дать больше того, что содержится в исходных дифференциальных уравнениях
- физическое моделирование всегда связано с проведением эксперимента на модели, иногда довольно сложного и длительного
- теория не может определить геометрическую форму и размеры системы, в которой протекает процесс
Нестационарным течением среды называется течение
- вихревое
- потенциальное
- параметры которого явным образом не зависят от времени
- параметры которого явным образом зависят от времени
Неустановившимся называют такое движение жидкости, при котором …
- скорость потока и давление в любой точке изменяются с течением времени
- скорость потока и давление в любой точке не изменяются с течением времени
- давление в потоке является постоянным, а скорость меняется
- скорость потока меняется, а давление остается постоянным
Объем тела давления – это
- объем тела, плавающего в жидкости
- площадь стенки, на которую действует сила давления жидкости или газа
- объем, ограниченный стенкой, пьезометрической плоскостью и вертикальной проецирующей плоскостью, построенной на контуре тела
- объем сосуда, в котором находится жидкость или газ
Объем тела, полностью находящегося в масле плотностью ρм =900 кг/м3, равен 50 м3. Чему равна выталкивающая сила, действующая на это тело?
- 450 кН
- 45 кН
- 18 кН
- 180 кН
Основной причиной потери напора в местных гидравлических сопротивлениях является …
- наличие вихреобразований в местах изменения конфигурации потока
- трение жидкости о внутренние острые кромки трубопровода
- изменение направления и скорости движения жидкости
- шероховатость стенок трубопровода и вязкость жидкости
Основой для вывода уравнений ламинарного ПС являются уравнения
- Навье-Стокса
- Рейнольдса
- Эйлера
- Громеки-Ламба
Относительным покоем жидкости называется …
- состояние равновесия жидкости при наличии переносного движения
- равновесие жидкости при переменном значении действующих на нее сил тяжести и инерции
- равновесие жидкости при неизменной силе тяжести и изменяющейся силе инерции
- равновесие жидкости только при неизменной силе тяжести
Отрыв потока жидкости происходит в результате …
- влияния шероховатостей внутренней стенки трубы
- вязкого истечения жидкости вблизи стенок трубы
- торможения жидкости в пограничном слое
- торможения жидкости в пограничном слое и воздействие перепада давления
Отрыв происходит в результате совместного действия двух основных факторов – торможения жидкости в пограничный слой и …
- повышения вязкости слоя
- увеличения температуры слоя
- воздействия перепада давления
- уменьшения температуры слоя
Первое свойство гидростатического давления гласит …
- в любой точке жидкости гидростатическое давление перпендикулярно площадке касательной к выделенному объему и действует от рассматриваемого объема
- в любой точке жидкости гидростатическое давление перпендикулярно площадке касательной к выделенному объему и действует внутрь рассматриваемого объема
- в каждой точке жидкости гидростатическое давление действует параллельно площадке касательной к выделенному объему и направлено произвольно
- гидростатическое давление неизменно во всех направлениях и всегда перпендикулярно в точке его приложения к выделенному объему
Поверхности скачков уплотнения могут быть …
- перпендикулярными скорости набегающего потока
- неперпендикулярными скорости набегающего потока
- перпендикулярными и неперпендикулярными к скорости набегающего потока
- параллельными к скорости набегающего потока
Поверхностное натяжение – это
- способность среды оказывать сопротивление сдвигающему усилию
- процесс образования в жидкости пузырьков газа
- процесс перехода вещества из газообразного состояния в жидкое
- стремление вещества уменьшить избыток своей поверхностной энергии на границе радела с другими веществами
Повышение температуры газа у поверхности тела, обтекаемого при больших числах Маха, называется …
- изотермическим процессом
- газодинамической функцией
- аэродинамическим нагревом
- степенью уширения
Пограничный слой (указать неверное утверждение)
- образуется от передней кромки обтекаемого жидкостью тела
- имеет постоянную толщину вдоль всей поверхности обтекаемого тела
- бывает пристенным и струйным
- представляет собой слой, в котором в основном проявляется действие вязкости
Полные гидравлические потери напора при движении жидкости в трубопроводе с участками, можно выразить как …
- больше, чем при торможении на одном прямом скачке
- меньше, чем при торможении на одном прямом скачке
- одинаковы с торможением при одном прямом скачке
- не влияют на величину кинетической энергии движущегося потока
Представленное на рисунке изменение параметров характерно для …
- прямого скачка
- косого скачка
- скачка в зоне ламинарного движения
- скачка в зоне турбулентного движения
При адиабатном процессе энтропия газа
- возрастает
- убывает
- постоянна
- равна нулю
При достаточно сильном повышении давления в газовом потоке возникают поверхности, называемые …
- сверхзвуковыми уплотнениями
- прямыми скачками
- отсоединенными скачками
- скачками уплотнения
При истечении жидкости из отверстий основным вопросом является …
- определение скорости истечения и расхода жидкости
- определение необходимого диаметра отверстий
- определение объема резервуара
- определение гидравлического сопротивления отверстия
При косом скачке уплотнения значение нормальной составляющей скорости потока зависит от …
- перепада давления в скачке уплотнения
- касательной составляющей скорости потока
- угла наклона скачка уплотнения
- критического значения энтальпии
При ламинарном движении жидкости в круглой трубе числовое значение коэффициента кинетической энергии равно
- 2,0
- 1,1
- 2,5
При ламинарном течении гидравлический коэффициент трения для круглых труб зависит от
- относительной шероховатости поверхности трубы
- вязкости жидкости
- числа Re и относительной шероховатости поверхности трубы
- числа Re
При неустановившемся движении кривая, в каждой точке которой вектора скорости в данный момент времени направлены по касательной, называется …
- траекторией тока
- линией тока
- трубкой тока
- струйкой тока
При обтекании плоской пластины нарастание турбулентного ПС
- происходит медленнее, чем ламинарного ПС
- происходит быстрее, чем ламинарного ПС
- происходит по такому же закону, что и для ламинарного ПС
- не возникает
При переходе через скачок уплотнения часть кинетической энергии потока …
- превращается в потенциальную
- превращается в тепловую
- добавляется к энергии потока жидкости
- совершает работу
При турбулентном квадратичном режиме с увеличением числа Рейнольдса Re гидравлический коэффициент трения
- не изменяется
- при некотором Re имеет максимальное значение
- монотонно увеличивается
- монотонно уменьшается
При Re < 2300 режим движения жидкости является …
- кавитационным
- турбулентным
- переходным
- ламинарным
Пристенный ПС – это слой
- вязкой жидкости, на границе которого скорость отличается от скорости невозмущенного потока на 0,5–1%
- имеющий место при выходе струи из отверстия или сопла в безграничную среду той же плотности и вязкости
- формирующийся при динамическом воздействии струи жидкости на твердую стенку
- возникающий при выходе струи из отверстия или сопла в безграничную среду с иными значениями плотности и вязкости
Процесс кавитации наступает при
- превышении температуры кипения данной жидкости
- понижении температуры жидкости ниже значения ее температуры кипения
- превышении давления значения давления насыщенных паров жидкости
- понижении давления жидкости до значения, меньшего давления насыщенных паров
Процесс моделирования гидродинамических явлений включает в себя взаимосвязанные этапы, такие как…
- формулирование в математических терминах законов, описывающих поведение объекта
- составление проектной документации
- решение прямой задачи
- адаптация модели по результатам наблюдения, решение обратных задач
- анализ гидродинамического проектирования
- анализ модели, ее модернизация по мере накопления новой информации об изучаемом объекте, постепенный переход к новой, более совершенной, модели
Процесс, происходящий без теплообмена с окружающей средой, называется …
- адиабатным
- изохорным
- изобарным
- изотермический
Различают … основных вида турбинных лопаток.
- 2
- 3
- 4
- 5
Расположите в правильной последовательности операции методики расчета обтекания тел и течений внутри каналов с учетом интегральных толщин пограничного слоя
1 Полученное распределение используется как первое приближение характеристик внешнего потока на границе пограничного слоя для расчета его интегральных характеристик
2 Вновь осуществляется расчет распределений для полученных фиктивных поверхностей обтекаемого тела (канала)
3 На основе модели идеального газа (жидкости) вычисляется распределение скорости рабочей среды и ее термодинамических параметров по длине тела (канала)
4 По распределениям второго приближения рассчитываются характеристики пограничного слоя. Обычно второго приближения в расчетах бывает достаточно
5 Значения толщины вытеснения позволяют изменить границу твердых стенок в каждом расчетном сечении в сторону движущейся среды по нормали к стенке, то есть вводится фиктивная поверхность
Расстояние R, на котором происходит уменьшение скорости, называется … пограничного слоя
- высотой
- радиусом
- толщиной
- длинной
Режим течения жидкости (газа) определяет критерий …
- Рейнольдса
- Эйлера
- Грасгоффа
- никакой
Решение уравнений ламинарного ПС может быть получено для случая обтекания
- тела крыловидного профиля
- полубесконечной пластины
- полубесконечной пластины и сферы
- тела произвольного профиля
С ростом температуры кинематический коэффициент вязкости капельных жидкостей
- остается неизменным
- уменьшается
- увеличивается
- сначала уменьшается, а затем увеличивается
С уменьшением температуры кинематический коэффициент вязкости капельных жидкостей
- остается неизменным
- увеличивается
- уменьшается
- сначала увеличивается, а затем уменьшается
Свойство жидкости сопротивляться сдвигу ее слоев называется …
- химической и механической стойкостью
- сопротивлением растяжению
- совместимостью
- вязкостью
Свойство обратимости линий гидродинамической сетки означает, что
- линии тока и эквипотенциали ортогональны друг другу
- линии тока и эквипотенциали параллельны друг другу
- ни одна из линий сетки не может начинаться или заканчиваться внутри области течения
- каждой сетке соответствуют два возможных течения таких, что эквипотенциали одного служат линиями тока другого и наоборот
Сжимаемость жидкости характеризуется …
- коэффициентом Генри
- коэффициентом температурного сжатия
- коэффициентом поджатия
- коэффициентом сжимаемости
Символ ϕ в стандартной форме уравнения Навье-Стокса называется …
- векторным потенциалом вихревого поля скорости
- градиентом скорости
- показателем политропы
- скоростной высотой
Символ μ в уравнении гидравлического расчета насадков для отверстия в тонкой стенке называется …
- коэффициентом сопротивления
- коэффициентом расхода
- коэффициентом скорости
- коэффициентом входного отверстия насадка
Синонимом вихревого движения жидкости является
- движение без угловой скорости вращения
- движение с угловой скоростью вращения
- потенциальное движение
- ламинарное течение
Скорость потока жидкости на внутренней поверхности трубы равна …
- максимальной скорости потока
- минимальному значению ламинарного слоя
- нулю
- средней скорости потока
Смешанный ПС представляет собой область
- перемежающихся во времени ламинарного и турбулентного режимов течения
- последовательного расположения участков ламинарного и турбулентного режимов
- смешения газа и жидкости
- ламинарного режима течения
Согласно второму началу термодинамики
- энтропия системы всегда постоянна
- при отсутствии теплообмена с окружающей средой энтропия системы – неубывающая функция
- сила трения жидкости пропорциональна ее скорости
- энтальпия системы всегда меньше нуля
Согласно закону Архимеда
- сила давления покоящейся жидкости на погруженное в нее тело равна весу жидкости в объеме этого тела
- в однородной жидкости на одном горизонтальном уровне давление одинаково
- сила давления среды на дно сосуда не зависит от его формы
- при переходе системы из одного равновесного состояния в другое объем жидкости в ней не изменяется
Согласно теории ПС течение внутри ПС (указать неверное утверждение)
- может быть ламинарным и турбулентным
- имеет значительные градиенты скорости
- является потенциальным
- является вязким
Способы движения жидкости описывают …
- методом Лагранжа
- методом Прандтля
- методом Жуковского
- методом Эйлера
- методом Навье-Стокса
Стационарным течением среды называется течение
- параметры которого явным образом зависят от времени
- параметры которого явным образом не зависят от времени
- вихревое
- потенциальное
Струйный ПС формируется при
- выходе струи из отверстия или сопла в безграничную среду той же плотности и вязкости
- выходе струи из отверстия или сопла в безграничную среду с иными значениями плотности и вязкости
- входе вязкой жидкости в трубу из большого бака
- динамическом воздействии струи жидкости на твердую стенку
Субстанциональная производная имеет вид …
- ∂p/∂x
- Dωₓ/dt
- ∂/∂x
- ∂ωₓ/dy
Существует две разновидности построения суммарных гидравлических характеристик …
- для простого трубопровода, составленного из труб разного диаметра
- для сложного трубопровода составленного из труб разного диаметра
- для сложного трубопровода, состоящего из нескольких трубопроводов, соединенных параллельно
- для простого трубопровода, составленного из нескольких трубопроводов, соединенных параллельно
Существуют методы управления пограничным слоем, всего их …
- 2
- 3
- 4
- 5
Текучестью жидкости называется …
- величина, прямо пропорциональная динамическому коэффициенту вязкости
- величина, обратная динамическому коэффициенту вязкости
- величина, обратно пропорциональная кинематическому коэффициенту вязкости
- величина, пропорциональная градусам Энглера
Течение жидкости со свободной поверхностью называется …
- установившимся
- напорным
- безнапорным
- свободным
Течения, в которых υ>a и M>1, называются …
- дозвуковыми
- энергетическим
- сверхзвуковом
- скоростным
Течения, в которых υ
- дозвуковыми
- энергетическим
- сверхзвуковом
- скоростным
Толщина вытеснения представляет собой
- толщину ПС
- объем жидкости, вытесненный погруженным в нее телом
- длину обтекаемого жидкостью тела
- отклонение линий тока от своего начального состояния из-за образования ПС
Толщина пограничного слоя зависит от …
- вида газа
- вида газа, температуры, давления, энтальпии и внутренней энергии
- вида поверхности, формы тела, энтальпии и вязкости
- вязкости, давления газа, формы тела, состояния поверхности и положения тела в потоке
Толщина пограничного слоя измеряется в …
- см^2
- мм
- м
- м^2
Толщина пограничного слоя постепенно увеличивается …
- от задней части тел к передней
- от краёв к центральной части тела
- от центральной части тела к краям
- от передней части тела к задней
Толщина потери импульса
- представляет собой длину обтекаемого жидкостью тела
- представляет собой толщину ПС
- характеризует влияние вязкости на уменьшение количества движения жидкости, требуемого для преодоления сил внутреннего трения в ПС
- характеризует отклонение линий тока от своего начального состояния из-за образования ПС
Турбулентный режим движения при определении коэффициента гидравлического трения делится на …
- две области
- три области
- четыре области
- пять областей
Турбулизации потока вязкой жидкости способствует (указать неверное утверждение)
- резкое изменение границ потока жидкости
- увеличение средней скорости жидкости
- повышение температуры жидкости
- уменьшение расхода
Ударная адиабата представляет собой
- уравнение связи давления и плотности газа перед скачком уплотнения и за ним
- уравнение связи давления и скорости газа перед скачком уплотнения и за ним
- область перехода сверхзвукового потока газа в дозвуковой
- область перехода дозвукового потока газа в сверхзвуковой
Удельная энергия измеряется в …
- [м/с^3 ]
- [Дж]
- [м/Дж]
- [м]
Укажите неверное свойство гидродинамической сетки
- параллельность линий тока и эквипотенциалей
- ортогональность линий тока и эквипотенциалей
- обратимость линий сетки
- квадратичность сетки в малом
Уравнение

Уравнение движения жидкости или … — одно из основных уравнений гидродинамики идеальной жидкости.
- уравнение Бернулли
- уравнение Навье-Стокса
- уравнение Эйлера
- уравнение Бернулли-Сен-Венана
Уравнение Кармана в общем случае записывается следующим образом …
Уравнение Клайперона-Менделеева выражает
- термодинамическое состояние идеального газа
- закон изменения давления газа по вертикальной координате
- закон воздействия покоящегося газа на погруженное в него тело
- характер изменения скорости газа вдоль трубы переменного сечения
Уравнение моментов количества движения используется для …
- определения элементарной струйки идеальной жидкости
- определения зависимости скорости движения жидкости υ от различных факторов
- определения силовых и временных характеристик потока
- определения геометрических характеристик уравнения движения в напряжениях
Уравнение моментов количества движения связывает …
- силу тяжести и скорость системы
- количество движения с импульсом внешних сил, действующих на тела, составляющие систему
- гидростатическое давление, импульс внешних сил и скорость в системе
- силу тяжести, гидростатическое давление и импульс внешних сил, действующих на тела, составляющие систему
Уравнение Навье-Стокса описывает …
- зависимость ускорения с напряжениями массовых и поверхностных сил в данной точке потока
- зависимость скорости движения жидкости υ от различных факторов
- силовые и временные характеристики потока
- геометрические характеристики уравнения движения в напряжениях
Уравнение неразрывности для газа имеет вид …
- pdF=const
- pυτ = const
- ρυF = const
- υτF = const
Уравнение обращения воздействия, представляющее собой математическую запись закона обращения воздействия, было получено …
- М.В. Ломоносовым
- Н.Е. Жуковским
- М.А. Лаврентьевым
- Л.А. Вулисом
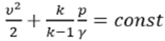
Уравнение энергии в интегральной форме имеет вид …
Уравнение энергии для газа, записанное в дифференциальной форме, имеет вид …
Уравнение, позволяющее найти гидростатическое давление в любой точке рассматриваемого объема, называется …
- основным уравнением гидростатики
- основным уравнением гидродинамики
- основным уравнением гидромеханики
- основным уравнением гидродинамической теории
Установите соответствие между буквенными обозначениями и обозначаемыми величинами:
A. Ho
B. Re
C. Eu
D. Gr
E. Критерий гомохронности
F. Критерий Фруда
G. Критерий Эйлера
H. Критерий Грасгофа
Установите соответствие между буквенными обозначениями и обозначаемыми величинами
A. β
B. γ
C. ν
D. k
E. Коэффициент сжимаемости
F. Удельный вес
G. Удельный объем
H. Показатель адиабаты
Установите соответствие между вариантами поведения тела в несжимаемой жидкости и действием тела:
A. γТ > γж
B. γТ = γж
C. γТ < γж
D. Тело тонет
E. Тело будет плавать внутри жидкости
F. Тело всплывает
Установите соответствие между величиной и её определением:
A. Давление насыщенного пара
B. Физическая атмосфера
C. Давление
D. Техническая атмосфера
E. Давление, при котором происходит кипение жидкости
F. Давление, соответствующее давлению столба ртути высотой 760 мм на его горизонтальное основание при плотности ртути 13595,04 кг/м^3, температуре 0°C и при нормальном ускорении свободного падения 9,80665 м/с^2
G. Сила, отнесенная к единице площади, измеряется в паскалях, Па
H. Давление, производимое силой в 1 кгс, равномерно распределенной по перпендикулярной к ней плоской поверхности площадью 1 〖см〗^2
Установите соответствие между величиной и ее формулой:
A. Вязкость
B. Число кавитаций
C. Касательное усилие между слоями жидкости
D. Скорость звука
E. Удельная энтальпия
F. τₓᵧ = μ (dυ/dy)
G. c = √(k (P/ρ))
H. σ = 2(P∞ − Pн) / ρυ²∞
I. f = −μF (dυ/dn)
J. i = U + (p/ρ)
Установите соответствие между дифференциальным уравнением жидкости и его определением:
A. Уравнение Бернулли
B. Дифференциальное уравнение Навье-Стокса
C. Дифференциальное уравнение неразрывности потока
D. Дифференциальное уравнение движения Эйлера
E. Согласно уравнению, для всех поперечных сечений установившегося потока идеальной жидкости величина гидродинамического напора остается неизменной, выражает фундаментальный закон сохранения массы
F. Учитывает влияние на скорость потока жидкости силы трения
G. Представляет собой зависимость между скоростями в потоке жидкости, для которого соблюдается условие сплошности, или неразрывности, течения
H. Описывает движение установившегося и неустановившегося потока идеальной жидкости, движущейся без трения
Установите соответствие между изображением сопла и его видом:
A.

B.

C.

D. Тепловое сопло
E. Механическое сопло
F. Полутепловое сопло
Установите соответствие между интегральными уравнениями для динамического пограничного слоя и названием интегральной характеристики
A.

B.

C.

D. Толщина потери импульса
E. Толщина потери энергии
F. Толщина вытеснения
Установите соответствие между подобием и его определением:
A. Временное подобие
B. Подобие начальных и граничных условий
C. Геометрическое подобие
D. Подобие физических величин
E. Оно предполагает, что сходственные точки или части геометрически подобных систем (модели и натуры), двигаясь по геометрически подобным траекториям, проходят геометрически подобные пути в промежутки времени, отношение которых является постоянной величиной
F. Оно предполагает, что начальное состояние и состояние на границах систем подобны
G. Оно предполагает, что сходные размеры натуры и модели параллельны, а их отношение выражается постоянной и равной величиной
H. Оно предполагает, что в рассматриваемых подобных системах (натуре и модели) отношение значений физических величин двух любых сходственных точек или частиц, подобно размещенных в пространстве и времени, есть величина постоянная
Установите соответствие между процессом и его особенностью:
A. Кипение
B. Испарение
C. Происходит при температуре кипения
D. Парообразование происходит с поверхности жидкости
E. Температура не меняется
F. Парообразование происходит по всему объёму жидкости
G. Происходит при любой температуре
H. Температура понижается
Установите соответствие между уравнением и его названием:
A. p = p₀ + ρgh
B. p = const
C. p = ρRT
D. z₁ + p₁/ρg + υ₁²/2g = z₂ + p₂/ρg + υ₂²/2g
E. Уравнение статики жидкостей и газов
F. Уравнение несжимаемой жидкости
G. Уравнение для совершенного газа
H. Уравнение для идеальной жидкости
Установите соответствие между уравнением и названием
A. λᴛ = 0,11 × (Δэ/d)^0.25
B. λᴛ = 0,11 × (68/Re)^0.25 = 0,3164/∜Re
C. 3 λᴛ = 0,11 × (68/Re + Δэ/d)^0.25
D. Формула Шифринсона
E. Формула Блазиуса
F. Формула Альтшуля
Установите соответствие между уравнением и определяемой величиной:
A. φ = 1 / √(α + ξсум))
B. μ = εφ
C. ξсум = ξ + λ ⋅ l / d
D. μ₀ = 2/3 ⋅ μ
E. Коэффициент скорости
F. Коэффициент расхода
G. Суммарный коэффициент сопротивления
H. Коэффициент расхода большого отверстия
Установите соответствие между уравнениями в дифференциальном виде и их названиями:
A.

B.

C.

D.

E. Уравнение неразрывности
F. Уравнение энергии в тепловой форме
G. Уравнение энергии в механической форме (уравнения Бернулли)
H. Уравнение состояния
Установите соответствие между эпюрой давления жидкости на поверхности и её названием
A.

B.

C.

D.

E. Эпюра двухстороннего давления (с двух сторон жидкость разной плотности)
F. Эпюра давления на наклонную стенку (есть избыточное давление)
G. Эпюра давления на наклонную стенку
H. Эпюра двухстороннего давления (с двух сторон жидкость одинаковой плотности)
Формула расхода имеет вид …
Формула υ1υ2=(k-1)/(k+1) υ_max^2 позволяет определить …
- скорость потока за скачком уплотнения
- скорость потока перед скачком уплотнения
- сверхзвуковую скорость потока
- критерий Рейнольдса
Формула

- кинематическую вязкость
- напряжения трения
- силу трения газа в трубе
- коэффициент гидравлического сопротивления
Циркуляция скорости (указать неверное утверждение)
- выражается через угловую скорость вращения
- считается положительной величиной, если обходить контур так, чтобы ограниченная им область оставалась слева
- служит мерой вихревого движения жидкости
- выражается через скорость поступательного движения
Чему равен радиус капиллярной трубки, в которой находится спирт при температуре 20 0С , если высота его опускания hкап = 3 мм
- 1,92 мм
- 1 мм
- 0,5 мм
- 5 мм
Число Маха (указать неверное утверждение)
- может быть больше единицы
- всегда меньше нуля
- может быть меньше единицы
- это отношение скорости газа к скорости звука
Числовое значение коэффициента кинетической энергии при турбулентном движении жидкости в круглой трубе равно
- 1,1
- 2,5
- 2,0
Член уравнения, обозначаемый буквой z, называется …
- геометрической высотой
- пьезометрической высотой
- скоростной высотой
- потерянной высотой
Чтобы предотвратить, отрыв слоя и образование возвратного течения, Прандтлем было предложено несколько способов, а именно …
- 5 способов
- 4 способа
- 3 способа
- 2 способа
Эквивалентная шероховатость поверхности трубы – это
- средняя высота выступов шероховатости
- высота выступов равнозернистой шероховатости, которая создает сопротивление, равное сопротивлению в реальных трубах
- отношение средней высоты выступов шероховатости к диаметру трубы
- максимальная высота выступов шероховатости
Эквипотенциальная поверхность – это поверхность, на которой
- одинаковая шероховатость
- разная шероховатость
- функция тока имеет постоянное значение
- потенциал скорости постоянен
Элементарная струйка жидкости – это …
- совокупность частиц жидкости на входе и выходе потока
- напор жидкости малой величины
- движение жидкости в трубке при неполном заполнении поперечного сечения
- совокупность частиц, ограниченных элементарной трубкой тока
Явление поглощения веществ или газов на поверхности твердого тела или жидкости называется …
- текучестью
- вязкостью
- адсорбцией
- кавитацией
Файлы условия, демо
Характеристики ответов (шпаргалок) к зачёту
Предмет
Учебное заведение
Семестр
Номер задания
Программы
Теги
Просмотров
17
Качество
Идеальное компьютерное
Размер
595,97 Kb
Список файлов
Гидрогазодинамика. Ответы на тест.pdf

Каждая купленная работа – это шаг к вашей успешной сдаче и мой стимул делать ещё лучше. Вместе мы создаём круговорот добра в учебе 🥰