Для студентов МГТУ им. Н.Э.Баумана по предмету ФизикаВолныВолны
4,97514418
2025-09-232025-09-23СтудИзба
Вариант 1 - ДЗ №2 - "Волны"
Задача 4: Волны вариант 1
Описание
Дз-2, задача №4 - "Волны", зачтена на максимальный балл
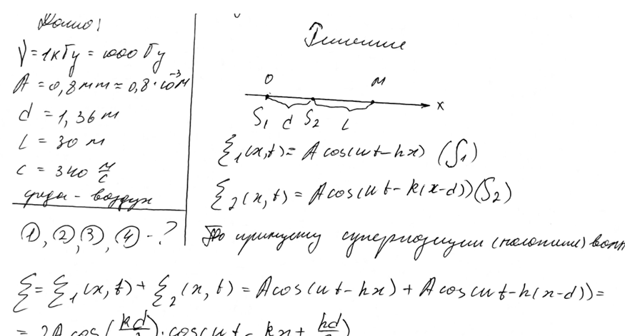
Условие:
Решение:
Показать/скрыть дополнительное описание
Условие:


Типовой расчет по физике МГТУ.
Характеристики решённой задачи
Предмет
Учебное заведение
Семестр
Номер задания
Вариант
Программы
Просмотров
1
Качество
Скан рукописных листов
Размер
580,57 Kb
Список файлов
Вариант 1 ДЗ-4 157.pdf

Спасибо за покупку! Я буду очень рад, если поставишь справедливую оценку купленному файлу :3 Ищи больше работ в моём профиле, там много нужного тебе!