Для студентов НГТУ по предмету ФизикаИспользуя тензор натяжений Максвелла, указать направление и величину натяжений (сил), действующих на полюса магнита N и S со стороны магнитного поля BИспользуя тензор натяжений Максвелла, указать направление и величину натяжений (сил), действующих на полюса магнита N и S со стороны магнитного поля B
5,0057
2025-01-292025-01-29СтудИзба
Используя тензор натяжений Максвелла, указать направление и величину натяжений (сил), действующих на полюса магнита N и S со стороны магнитного поля B=(0,0,B) .
Описание
Используя тензор натяжений Максвелла, указать направление и величину натяжений (сил), действующих на полюса магнита N и S со стороны магнитного поля B=(0,0,B) .
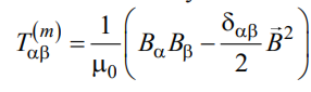
Тензор натяжений Максвелла имеет вид:
Рисунок:
![]()
Тензор натяжений Максвелла имеет вид:
Рисунок:

Характеристики решённой задачи
Предмет
Учебное заведение
Семестр
Номер задания
Просмотров
5
Качество
Скан рукописных листов
Размер
206,28 Kb
Список файлов
15 задача.png
Комментарии
Нет комментариев
Стань первым, кто что-нибудь напишет!
НГТУ
KOTOPES

















