Для студентов СКФУ в г. Пятигорск по предмету ФизикаКакая доля энергии фотона израсходована на работу вы¬рывания фотоэлектрона, если красная граница фотоэффекта λ0=307 нм и максимальная кинетическая энеКакая доля энергии фотона израсходована на работу вы¬рывания фотоэлектрона, если красная граница фотоэффекта λ0=307 нм и максимальная кинетическая эне
2024-01-142024-01-14СтудИзба
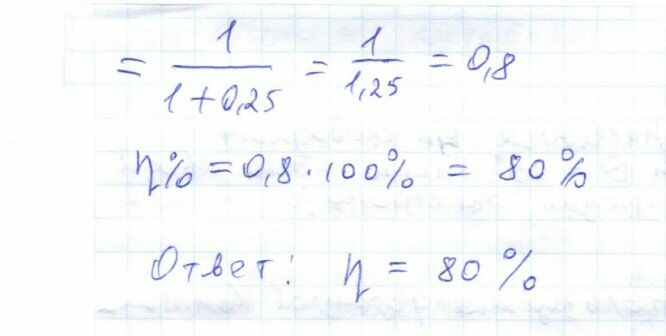
Какая доля энергии фотона израсходована на работу вы¬рывания фотоэлектрона, если красная граница фотоэффекта λ0=307 нм и максимальная кинетическая энергия Тmах фотоэлектрона равна 1 эВ?
Описание
Какая доля энергии фотона израсходована на работу вырывания фотоэлектрона, если красная граница фотоэффекта λ0=307 нм и максимальная кинетическая энергия Тmах фотоэлектрона равна 1 эВ?
Характеристики решённой задачи
Предмет
Учебное заведение
Номер задания
Вариант
Теги
Просмотров
4
Качество
Фото рукописных листов
Размер
836,39 Kb
Список файлов
