Для студентов МГТУ им. Н.Э.Баумана по предмету ФизикаЗадача 5.1Задача 5.1
4,97514430
2023-06-032023-06-03СтудИзба
Вариант 2 - ДЗ №1 - Задача 5.1.02
Задача 5.1 вариант 2
Описание
Задача из типовика №1, зачтена на максимальный балл
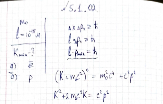
Условие:
Решение:
Показать/скрыть дополнительное описание
Условие:


Показать/скрыть дополнительное описание
На какую кинетическую энергию должен быть рассчитан ускоритель заряженных частиц с массой покоя m0 , чтобы с их помощью можно было исследовать структуры с линейными размерами l ? .
Характеристики решённой задачи
Предмет
Учебное заведение
Семестр
Номер задания
Вариант
Просмотров
2
Качество
Скан рукописных листов
Размер
817,13 Kb
Список файлов
5.1.02 433.pdf

Спасибо за покупку! Я буду очень рад, если поставишь справедливую оценку купленному файлу :3 Ищи больше работ в моём профиле, там много нужного тебе!