Для студентов МГТУ им. Н.Э.Баумана по предмету ФизикаДинамика вращательного движенияДинамика вращательного движения
5,0055
2023-03-282024-11-27СтудИзба
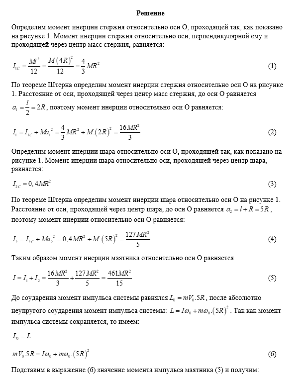
Задача 2: Динамика вращательного движения вариант 26
Описание
Зачтено на максимальный балл



Характеристики решённой задачи
Предмет
Учебное заведение
Семестр
Номер задания
Вариант
Программы
Просмотров
34
Качество
Идеальное компьютерное
Размер
215 Kb
Список файлов
Физика1-ДЗ1-задача2.4-вариант26.doc

Ваше удовлетворение является нашим приоритетом, если вы удовлетворены нами, пожалуйста, оставьте нам 5 ЗВЕЗД и позитивных комментариев. Спасибо большое!. Смотрите файлы в моем профиле, там есть много полезных !