Для студентов НИУ «МЭИ» по предмету ФизикаЗадача 1.5Задача 1.5
2022-12-012022-12-01СтудИзба
Задача 1: Задача 1.5 вариант 5
Описание
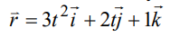
1.5. Радиус-вектор частицы изменяется со временем по закону:
(м). Найдите: а) скорость v и a ускорение частицы; б) модуль скорости v и модуль ускорения а; в) уравнение траектории; г) нормальное и тангенциальное ускорения при t = 1 с; д) радиус кривизны траектории в тот же момент времени.

Характеристики решённой задачи
Предмет
Учебное заведение
Семестр
Номер задания
Вариант
Просмотров
145
Качество
Фото рукописных листов
Размер
68,05 Kb
Список файлов

Вам все понравилось? Получите кэшбэк - 40 рублей на Ваш счёт при покупке. Поставьте оценку и напишите положительный комментарий к купленному файлу. После Вы получите деньги на ваш счет.