Для студентов НИУ «МЭИ» по предмету ФизикаЗадача 5.43Задача 5.43
2022-11-172022-11-17СтудИзба
Задача 5: Задача 5.43 вариант 43
Описание
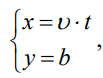
5.43. Частица массой m =10 г движется в плоскости XY. Ее кинематический закон движения имеет вид
, где v = 20 см/с, b =10 см. Чему равен момент импульса частицы относительно оси Z? Укажите на рисунке направление вектора момента импульса.

Характеристики решённой задачи
Предмет
Учебное заведение
Семестр
Номер задания
Вариант
Просмотров
22
Качество
Фото рукописных листов
Размер
145,99 Kb
Список файлов

Вам все понравилось? Получите кэшбэк - 40 рублей на Ваш счёт при покупке. Поставьте оценку и напишите положительный комментарий к купленному файлу. После Вы получите деньги на ваш счет.