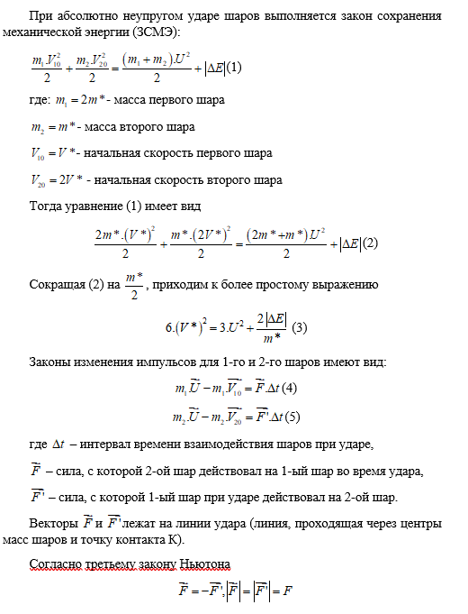
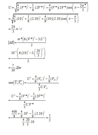
Для студентов МГТУ им. Н.Э.Баумана по предмету ФизикаДинамика материальной точкиДинамика материальной точки
5,0051
2022-02-242024-11-27СтудИзба
Задача 1: Динамика материальной точки вариант 5
Описание
Две гладкие частицы сферической формы с массами m1 и m2, движущиеся со скоростями V1 и V2 , сталкиваются под углом b, как указано на рис.1. Расстояние до места встречи и скорости частиц соответствуют условиям соударения (отсутствию промаха)
![]()





Файлы условия, демо
Характеристики решённой задачи
Предмет
Учебное заведение
Семестр
Номер задания
Вариант
Просмотров
335
Качество
Идеальное компьютерное
Размер
92,87 Kb
Список файлов
Дз1-Вариант5-задача1.docx

Ваше удовлетворение является нашим приоритетом, если вы удовлетворены нами, пожалуйста, оставьте нам 5 ЗВЕЗД и позитивных комментариев. Спасибо большое!. Смотрите файлы в моем профиле, там есть много полезных !