Для студентов МГТУ им. Н.Э.Баумана по предмету ФизикаДинамика вращательного движенияДинамика вращательного движения
1,0052
2022-02-102022-02-10СтудИзба
Задача 2: Динамика вращательного движения вариант 11
Описание
Характеристики решённой задачи
Предмет
Учебное заведение
Семестр
Номер задания
Вариант
Просмотров
29
Размер
486 Kb
Список файлов
Вариант 11.pdf
Отзывы
Отзыв
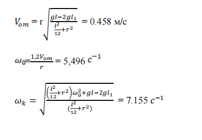
В задаче нет решения, просто дано обоснование закона сохранения энергии и ответы

МГТУ им. Н.Э.Баумана


















