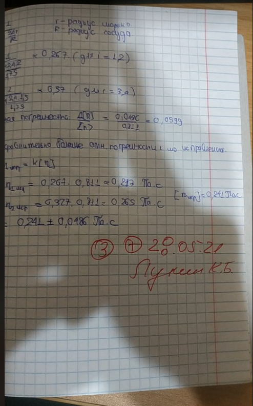
Для студентов МГТУ им. Н.Э.Баумана по предмету ФизикаОпределение динамической вязкости жидкости по методу СтоксаОпределение динамической вязкости жидкости по методу Стокса
5,0052
2022-02-072022-02-07СтудИзба
Лабораторная работа М: Определение динамической вязкости жидкости по методу Стокса вариант 21
Описание
Характеристики лабораторной работы
Предмет
Учебное заведение
Семестр
Номер задания
Вариант
Просмотров
23
Размер
1,26 Mb
Список файлов
Комментарии
Нет комментариев
Стань первым, кто что-нибудь напишет!
МГТУ им. Н.Э.Баумана


















